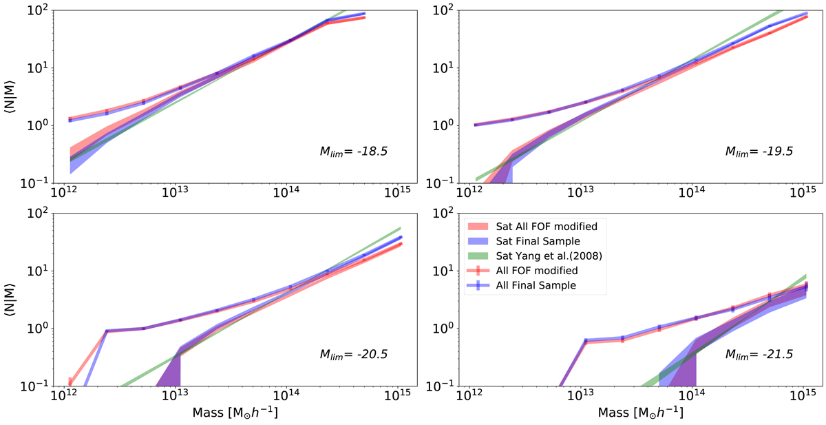
Fig. 9.

Halo occupation distribution for SDSS DR12 groups for FOF modified group sample (red lines) and Final Sample (blue lines) for four absolute magnitude thresholds (Mr = −18.5, −19.5, −20.5 and −21.5) as indicated in each panel. Green shaded areas correspond to the HOD of satellite galaxies obtained by Yang et al. (2008) in SDSS DR4, and to compare with our results shaded red and blue areas represent our HOD for satellites galaxies for the FOF modified and the Final Sample, respectively.
Current usage metrics show cumulative count of Article Views (full-text article views including HTML views, PDF and ePub downloads, according to the available data) and Abstracts Views on Vision4Press platform.
Data correspond to usage on the plateform after 2015. The current usage metrics is available 48-96 hours after online publication and is updated daily on week days.
Initial download of the metrics may take a while.