Press Release
Free Access

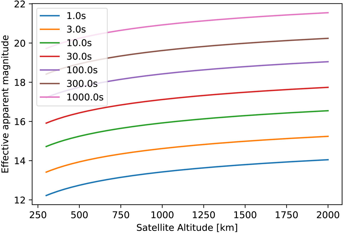
Fig. 11.

image

Effective apparent magnitude of the satellite as a function of its altitude, for various exposure times. A field star with that magnitude will have the same peak brightness as the satellite in that exposure.

Current usage metrics show cumulative count of Article Views (full-text article views including HTML views, PDF and ePub downloads, according to the available data) and Abstracts Views on Vision4Press platform.

Data correspond to usage on the plateform after 2015. The current usage metrics is available 48-96 hours after online publication and is updated daily on week days.

Initial download of the metrics may take a while.