Free Access

Fig. 4.

image

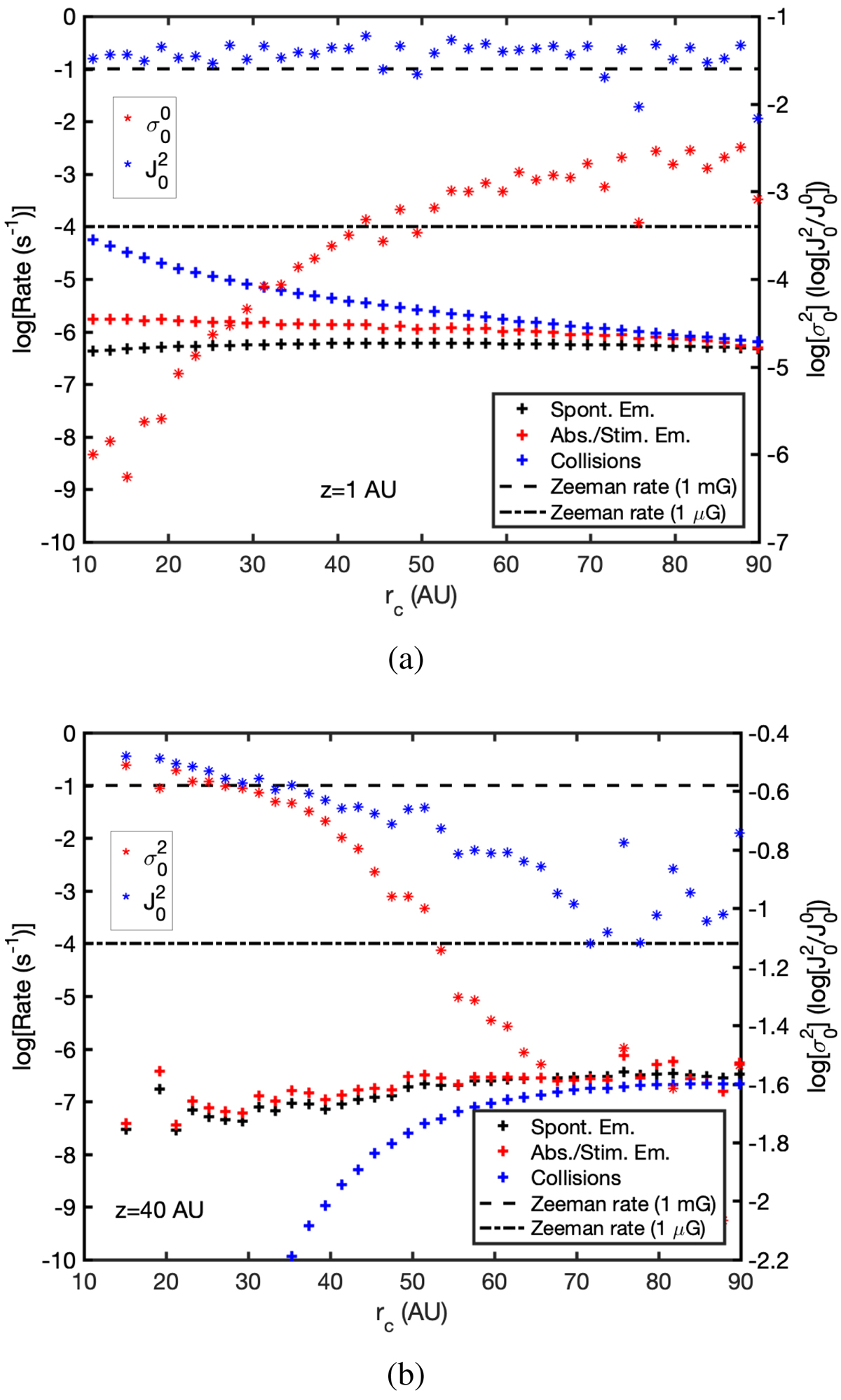
Protoplanetary disk’s interaction rates (collisional, absorption, and stimulated emission as well as spontaneous emission) and relative alignment (radiative and quantum state, with respect to a toroidal magnetic field) as a function of the radial distance for (a) 1 AU height and (b) 40 AU height. The interaction rates should be read from the left axis, the relative alignment from the right axis.

Current usage metrics show cumulative count of Article Views (full-text article views including HTML views, PDF and ePub downloads, according to the available data) and Abstracts Views on Vision4Press platform.

Data correspond to usage on the plateform after 2015. The current usage metrics is available 48-96 hours after online publication and is updated daily on week days.

Initial download of the metrics may take a while.