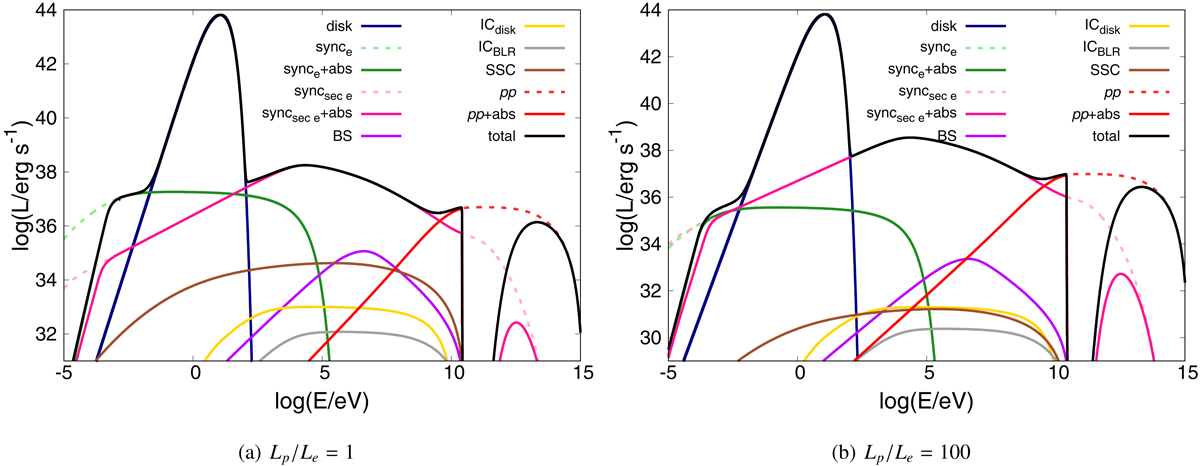
Fig. 3.

Spectral energy distributions obtained for our model. Left panel: SED obtained with equal power injected in protons than electrons. Right panel: situation where the luminosity injected in protons is 100 times the luminosity that goes to electrons. The dark-blue line labeled “disk” is the thermal emission from the accretion disk.
Current usage metrics show cumulative count of Article Views (full-text article views including HTML views, PDF and ePub downloads, according to the available data) and Abstracts Views on Vision4Press platform.
Data correspond to usage on the plateform after 2015. The current usage metrics is available 48-96 hours after online publication and is updated daily on week days.
Initial download of the metrics may take a while.