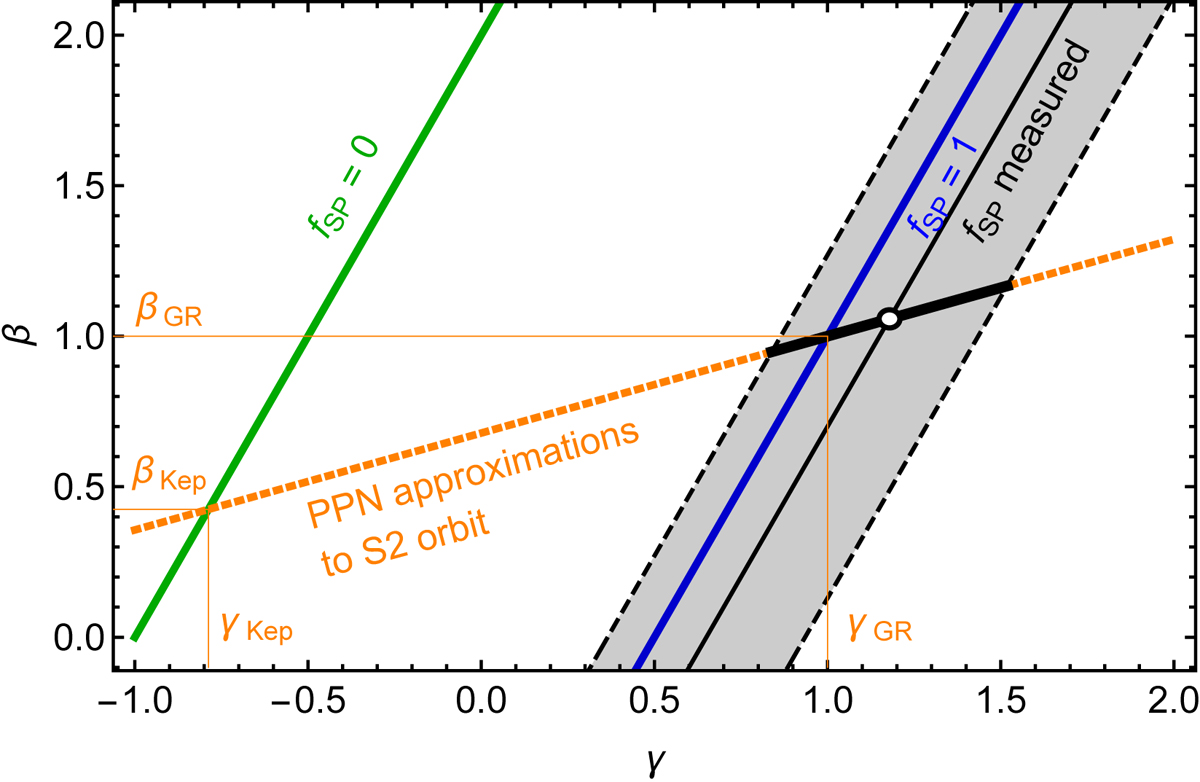
Fig. C.1.

Interpretation of our measurement in the plane of the PPN parameters β and γ. Our value for fSP and its uncertainty are represented by the black line and grey band. The GR value fSP = 1 is the blue line, and the Newtonian value fSP = 0 is the green line. The best approximations to the orbits by PPN parameters are shown by the orange dotted line. Assuming GR is a PPN theory, our measurement corresponds to the white circle at the intersection point and the uncertainties are the adjacent black thick lines.
Current usage metrics show cumulative count of Article Views (full-text article views including HTML views, PDF and ePub downloads, according to the available data) and Abstracts Views on Vision4Press platform.
Data correspond to usage on the plateform after 2015. The current usage metrics is available 48-96 hours after online publication and is updated daily on week days.
Initial download of the metrics may take a while.