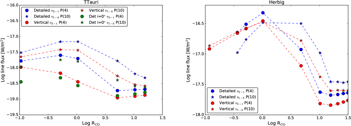
Fig. 2

Line fluxes for the v2−1 P(4) transition and the v1−0 P(10) transition, comparing vertical escape flux (star symbols) and detailed line radiative transfer (circles) for the Rin model series. Left plot: TTauri disk case with fluorescence. Right plot: Herbig disk case with fluorescence. Left panel: effect of the inclination from the detailed line radiative transfer for a face-on disk as well (i = 0°).
Current usage metrics show cumulative count of Article Views (full-text article views including HTML views, PDF and ePub downloads, according to the available data) and Abstracts Views on Vision4Press platform.
Data correspond to usage on the plateform after 2015. The current usage metrics is available 48-96 hours after online publication and is updated daily on week days.
Initial download of the metrics may take a while.