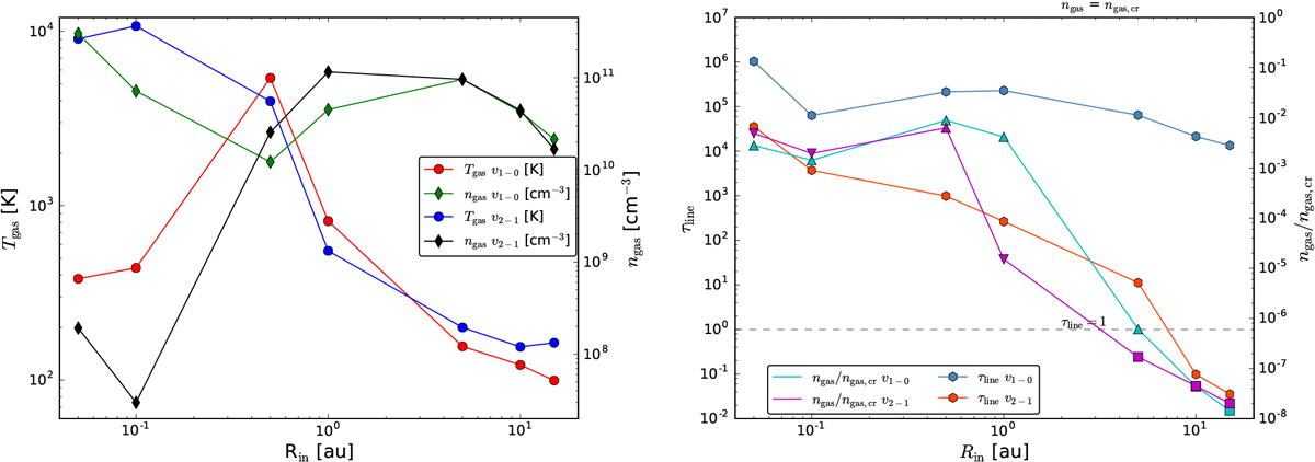
Fig. 3

Left: physical conditions Tgas and ngas in the average emitting regions for the lines P(4) v2−1 (red dots and green diamonds, respectively) and P(10) v1−0 (blue dots and black diamonds, respectively). Right: critical density over gas density for P(10) v1−0 (cyan triangles) and P(4) v2−1 (magenta triangles). Average line optical depth in the emitting region of the P(10) v1−0 (blue hexagons) and P(4) v2−1 (orange hexagons) lines. The horizontal dashed gray line marks the optical depth τline = 1.
Current usage metrics show cumulative count of Article Views (full-text article views including HTML views, PDF and ePub downloads, according to the available data) and Abstracts Views on Vision4Press platform.
Data correspond to usage on the plateform after 2015. The current usage metrics is available 48-96 hours after online publication and is updated daily on week days.
Initial download of the metrics may take a while.