Open Access

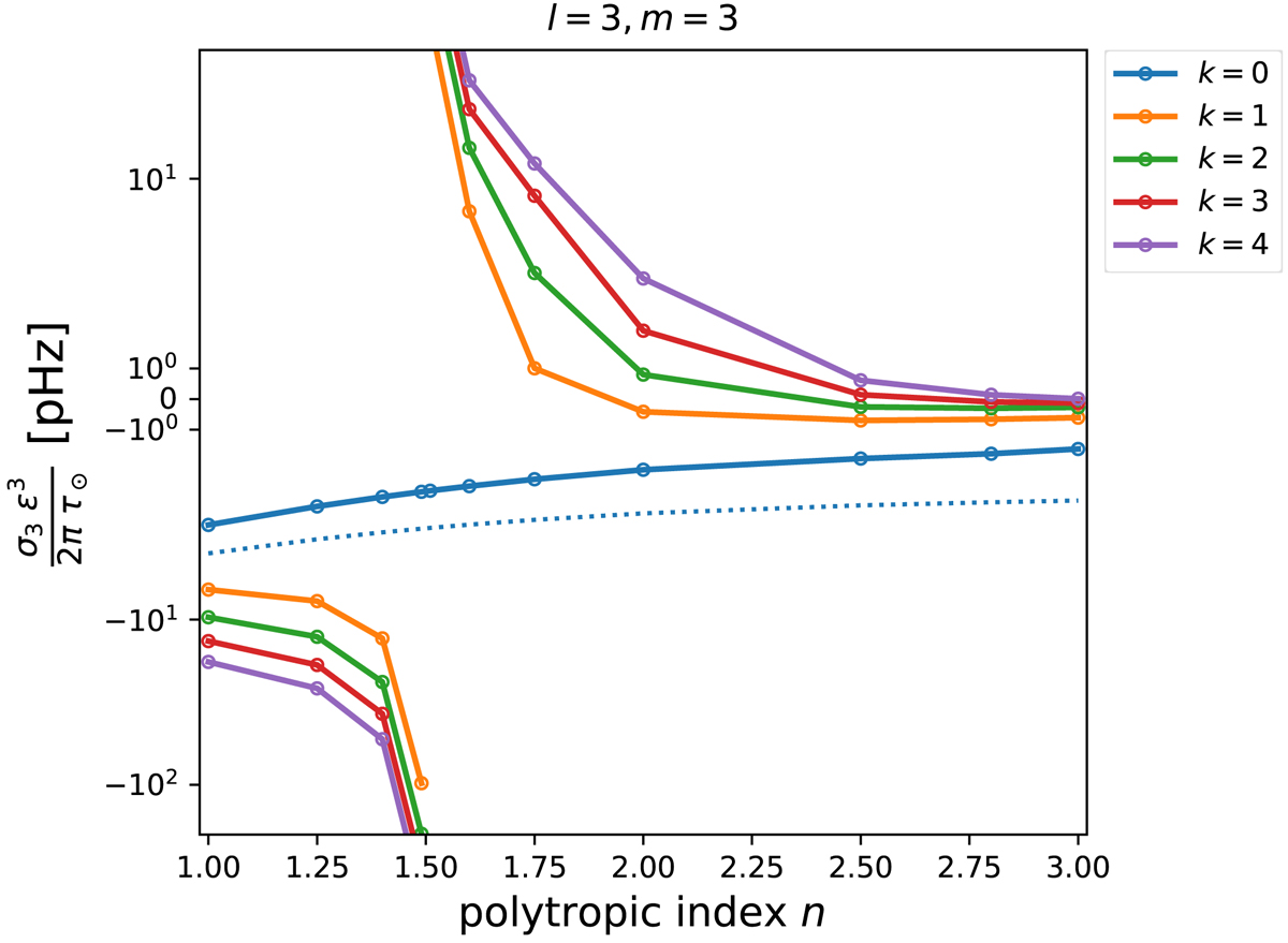
Fig. 1.

image

Third-order term in the frequency expansion σ3ε3 as a function of the polytropic index n, for the sectoral r modes  = m = 3 and several radial orders k. The corresponding frequency term in the incompressible case, which has only  = m, k = 0 solutions, is given by a blue dotted line (see text). The frequency is given in pHz, using the relevant solar quantities, and is displayed in symmetric log scaling, with linear scaling between ±6 pHz. The quantity τ is our unit of time and corresponds to the Sun’s dynamical time scale.

Current usage metrics show cumulative count of Article Views (full-text article views including HTML views, PDF and ePub downloads, according to the available data) and Abstracts Views on Vision4Press platform.

Data correspond to usage on the plateform after 2015. The current usage metrics is available 48-96 hours after online publication and is updated daily on week days.

Initial download of the metrics may take a while.