Open Access
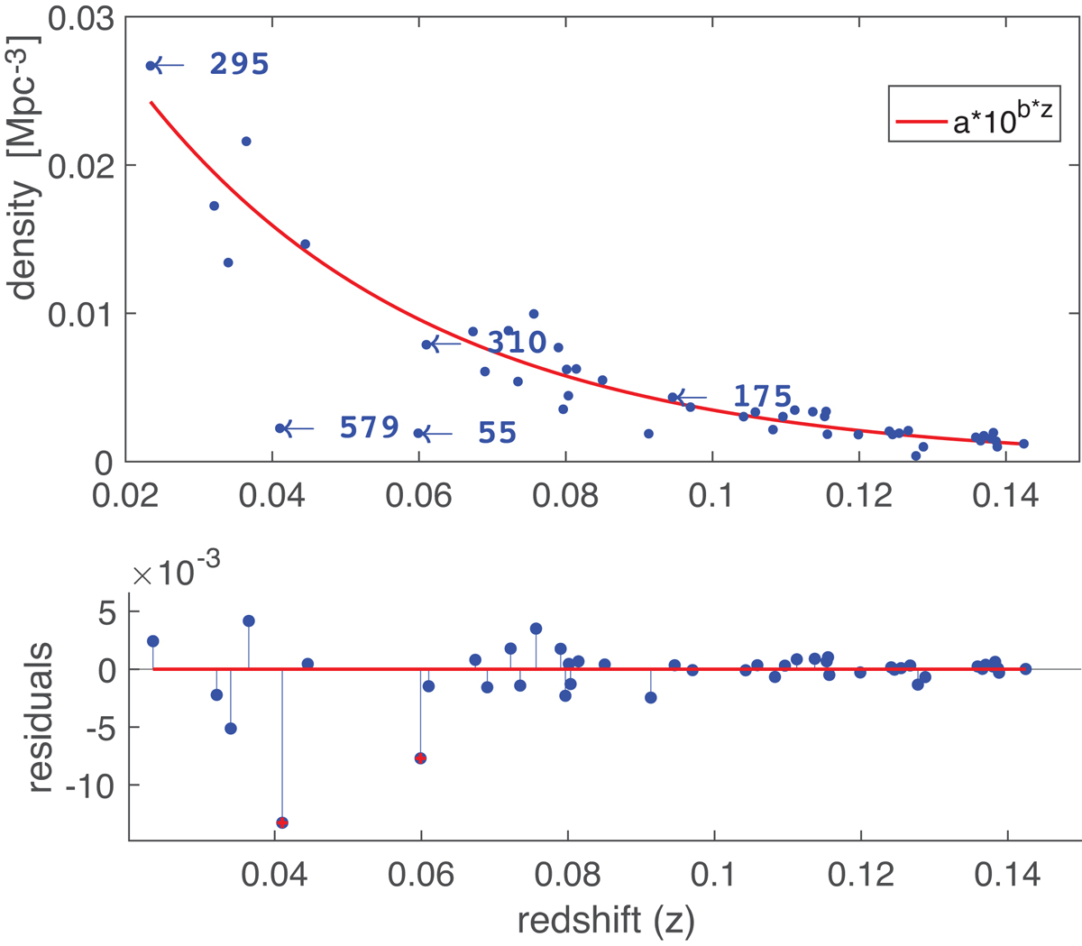
Fig. 1.

Distribution of mean volume densities (see fourth column of Table 2) for the 46 superclusters in our sample as function of redshift (blue points). The red line corresponds to the best fit of a power-law function. Residuals of the fitting are shown in the bottom panel. MSCC 579 and MSCC 55 were excluded from the fitting.
Current usage metrics show cumulative count of Article Views (full-text article views including HTML views, PDF and ePub downloads, according to the available data) and Abstracts Views on Vision4Press platform.
Data correspond to usage on the plateform after 2015. The current usage metrics is available 48-96 hours after online publication and is updated daily on week days.
Initial download of the metrics may take a while.