Free Access
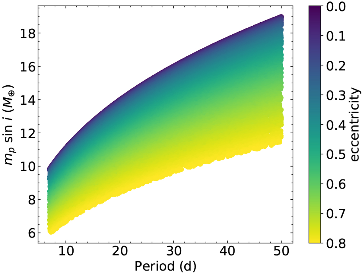
Fig. 14

Minimum detectable mass of any putative planet surrounding GJ 338 A as a function of the orbital period. We adopted the rms of the CARMENES VIS RV residuals as the amplitude of the Keplerian signals. The color code stands for the different values of the eccentricity.
Current usage metrics show cumulative count of Article Views (full-text article views including HTML views, PDF and ePub downloads, according to the available data) and Abstracts Views on Vision4Press platform.
Data correspond to usage on the plateform after 2015. The current usage metrics is available 48-96 hours after online publication and is updated daily on week days.
Initial download of the metrics may take a while.