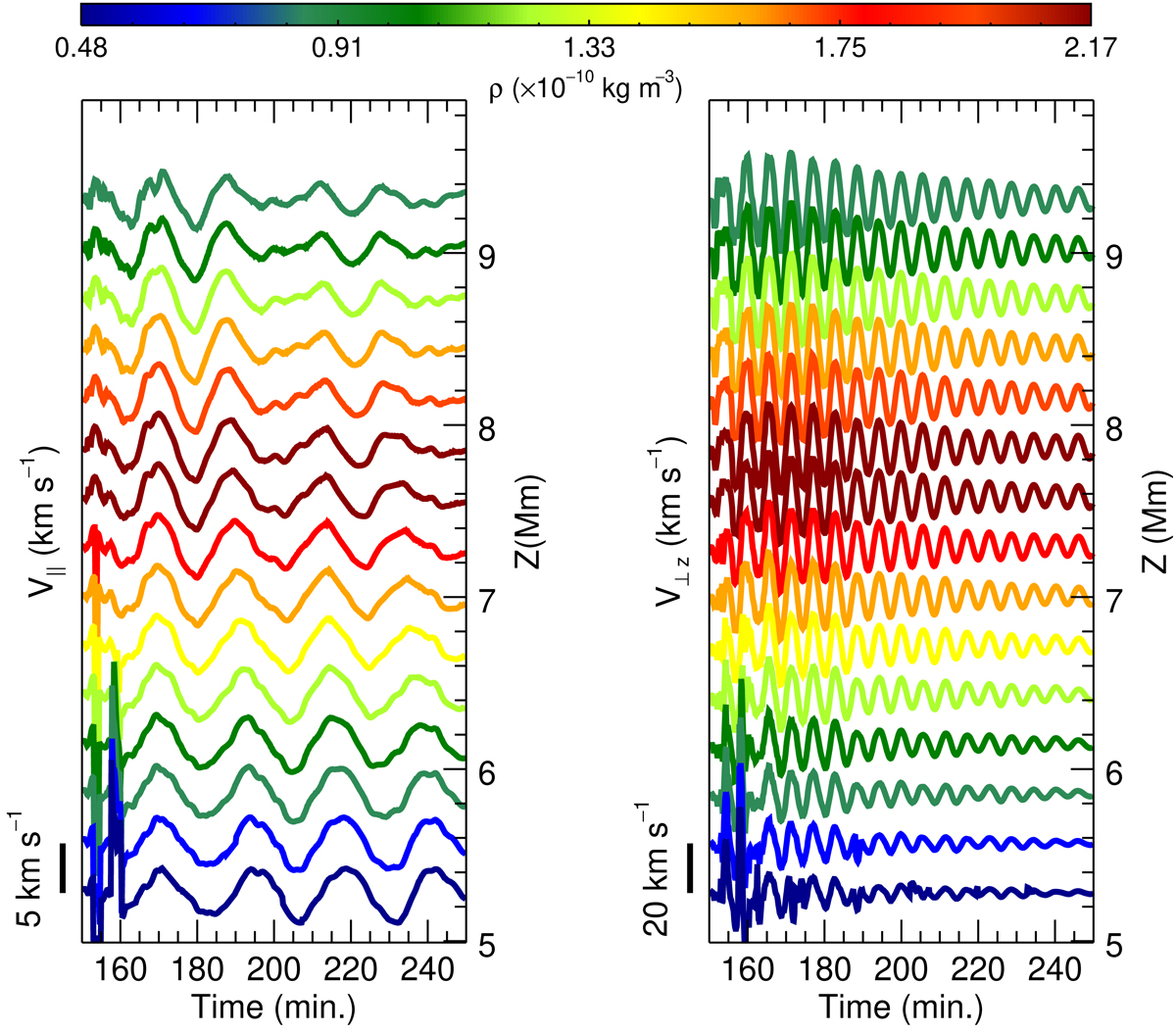
Fig. 10.

Temporal evolution of the longitudinal velocity (left panel) and vertical component of the transverse velocity (right panel) after the wavefront propagation. The prominence model used has a shear angle of θ = 45° and a density contrast of χ = 200. The colored lines indicate velocity variations at the center of mass of different field lines. The colors indicate the maximum initial density at the field lines according to the color bar scale. The right vertical axis indicates the height of the magnetic dips; the left vertical axis represents the scale of the maximum initial amplitude.
Current usage metrics show cumulative count of Article Views (full-text article views including HTML views, PDF and ePub downloads, according to the available data) and Abstracts Views on Vision4Press platform.
Data correspond to usage on the plateform after 2015. The current usage metrics is available 48-96 hours after online publication and is updated daily on week days.
Initial download of the metrics may take a while.