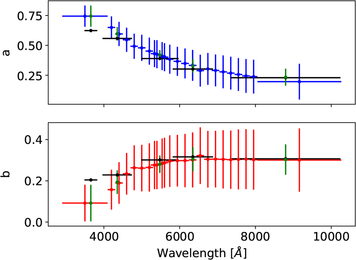
Fig. 1

Computed limb darkening coefficients (LDCs) for the chromatic light curves in red (linear LDC) and blue (quadratic LDC), compared to the LDCs for the UBV RI filters taken from Claret & Bloemen (2011) in black. In all cases, horizontal lines correspond to the width of the integration band for the custom wavelength bins, and the FWHM for the broad band filters. The green dots represent average values of the LDCs computed in this work, coinciding with the wavelength coverage of each of the UBV RI filters. The vertical lines show their uncertainties.
Current usage metrics show cumulative count of Article Views (full-text article views including HTML views, PDF and ePub downloads, according to the available data) and Abstracts Views on Vision4Press platform.
Data correspond to usage on the plateform after 2015. The current usage metrics is available 48-96 hours after online publication and is updated daily on week days.
Initial download of the metrics may take a while.