Free Access

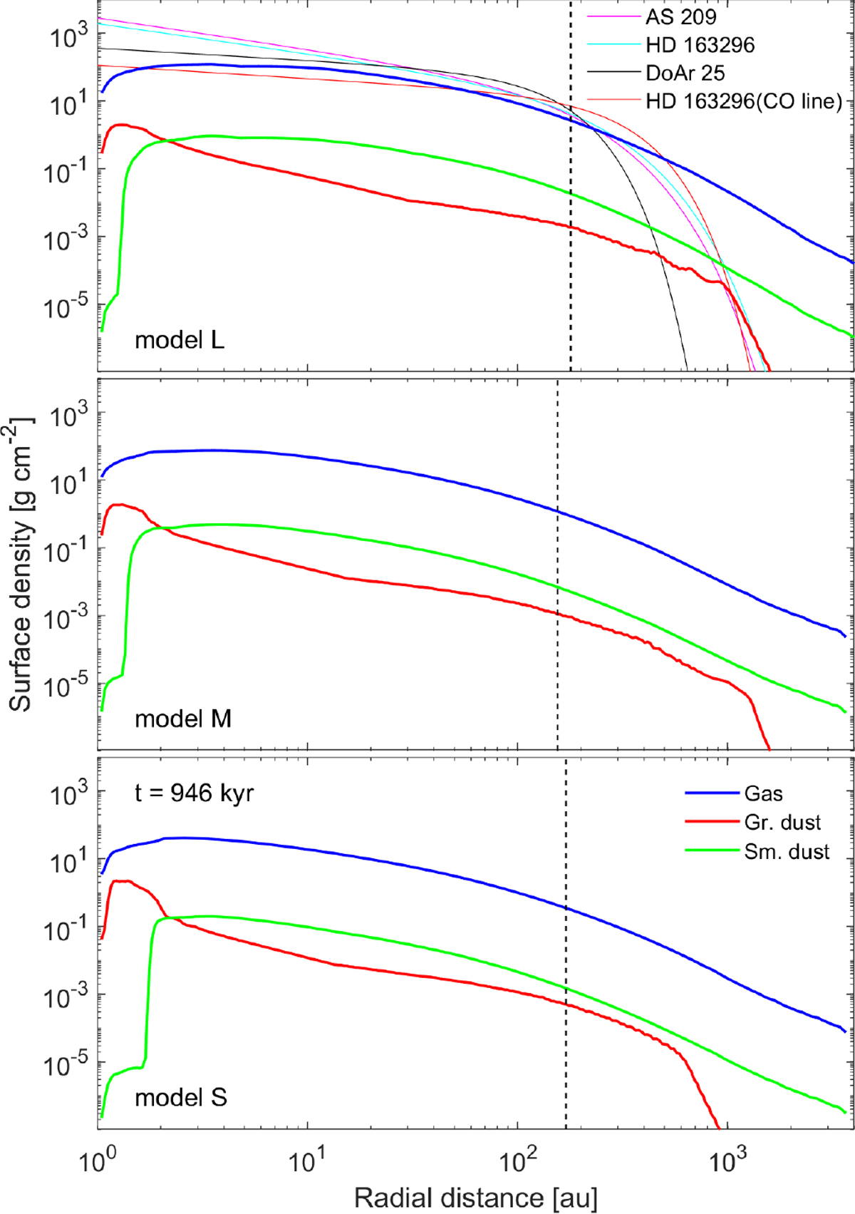
Fig. 7

image

Radial dependence of the azimuthally averaged surface densities of gas (blue curve), grown dust (red curve), and small dust (green curve) at evolutionary time t = 946 kyr for all ourmodels. The dashed vertical lines mark the radial distance at which the radius of dust particles ar = 0.85∕2π mm. Thin curves in top panel show the gas surface densities of three observed disks derived by Powell et al. (2019).

Current usage metrics show cumulative count of Article Views (full-text article views including HTML views, PDF and ePub downloads, according to the available data) and Abstracts Views on Vision4Press platform.

Data correspond to usage on the plateform after 2015. The current usage metrics is available 48-96 hours after online publication and is updated daily on week days.

Initial download of the metrics may take a while.