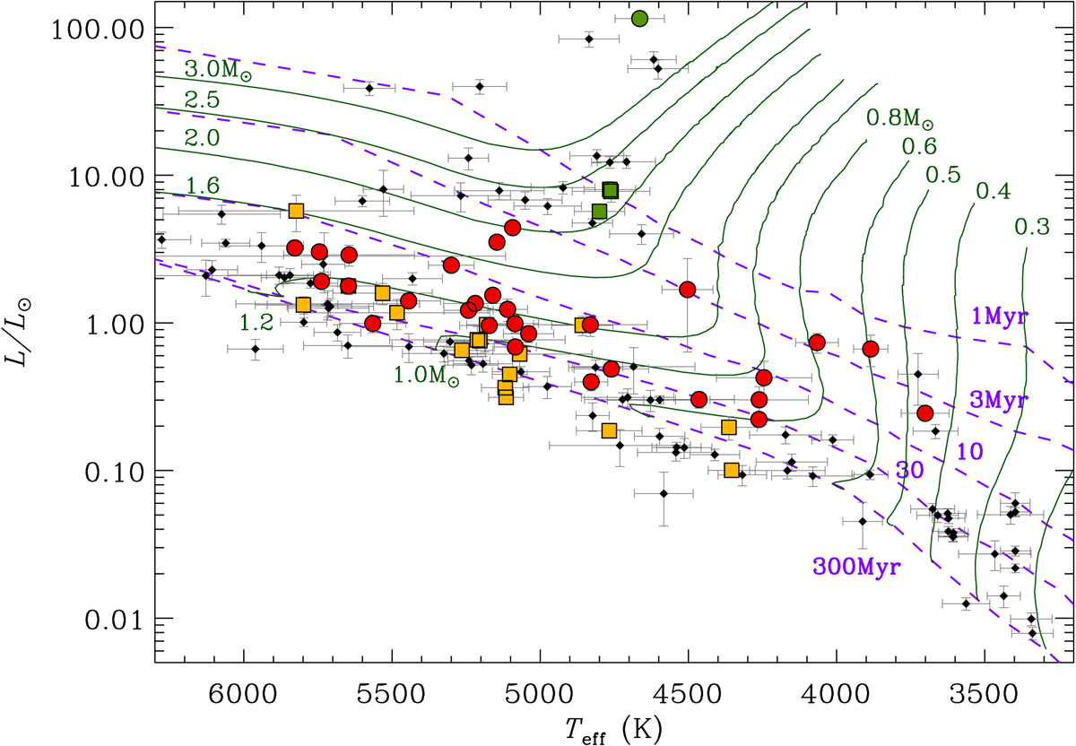
Fig. 6.

HR diagram of our targets with known APs and parallaxes. We display the young stars selected as PMS-like (red circles) and Pleiades-like (orange squares) sources, along with the lithium-rich sub-giant or giant stars (green symbols) and older (black diamonds) sources. The pre-main-sequence evolutionary tracks of Siess et al. (2000) are shown as solid lines with the labels representing their masses. The dashed lines denote the isochrones at ages of 1, 3, 10, 30, and 300 Myr.
Current usage metrics show cumulative count of Article Views (full-text article views including HTML views, PDF and ePub downloads, according to the available data) and Abstracts Views on Vision4Press platform.
Data correspond to usage on the plateform after 2015. The current usage metrics is available 48-96 hours after online publication and is updated daily on week days.
Initial download of the metrics may take a while.