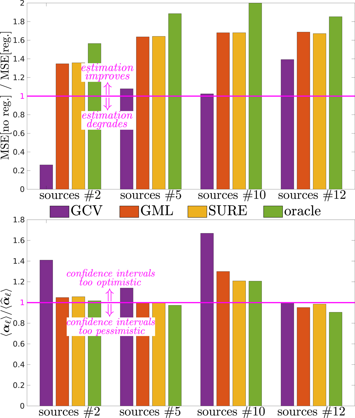
Fig. G.1.

Comparison of the GCV, GML, and SURE regularization strategies on 30 Monte–Carlo injections / spectrum estimations for sources #2, #5, #10, and #12. Top: gain in terms of MSE reduction comparing with the absence of spectral regularization (values higher than one indicates a decrease of the MSE). Bottom: comparison between the empirical 1σ confidence intervals predicted by PACO ASDI and the empirical ones (values higher than one indicate that predicted confidence intervals are smaller than the empirical ones so that the algorithm estimation is too optimistic).
Current usage metrics show cumulative count of Article Views (full-text article views including HTML views, PDF and ePub downloads, according to the available data) and Abstracts Views on Vision4Press platform.
Data correspond to usage on the plateform after 2015. The current usage metrics is available 48-96 hours after online publication and is updated daily on week days.
Initial download of the metrics may take a while.