Free Access
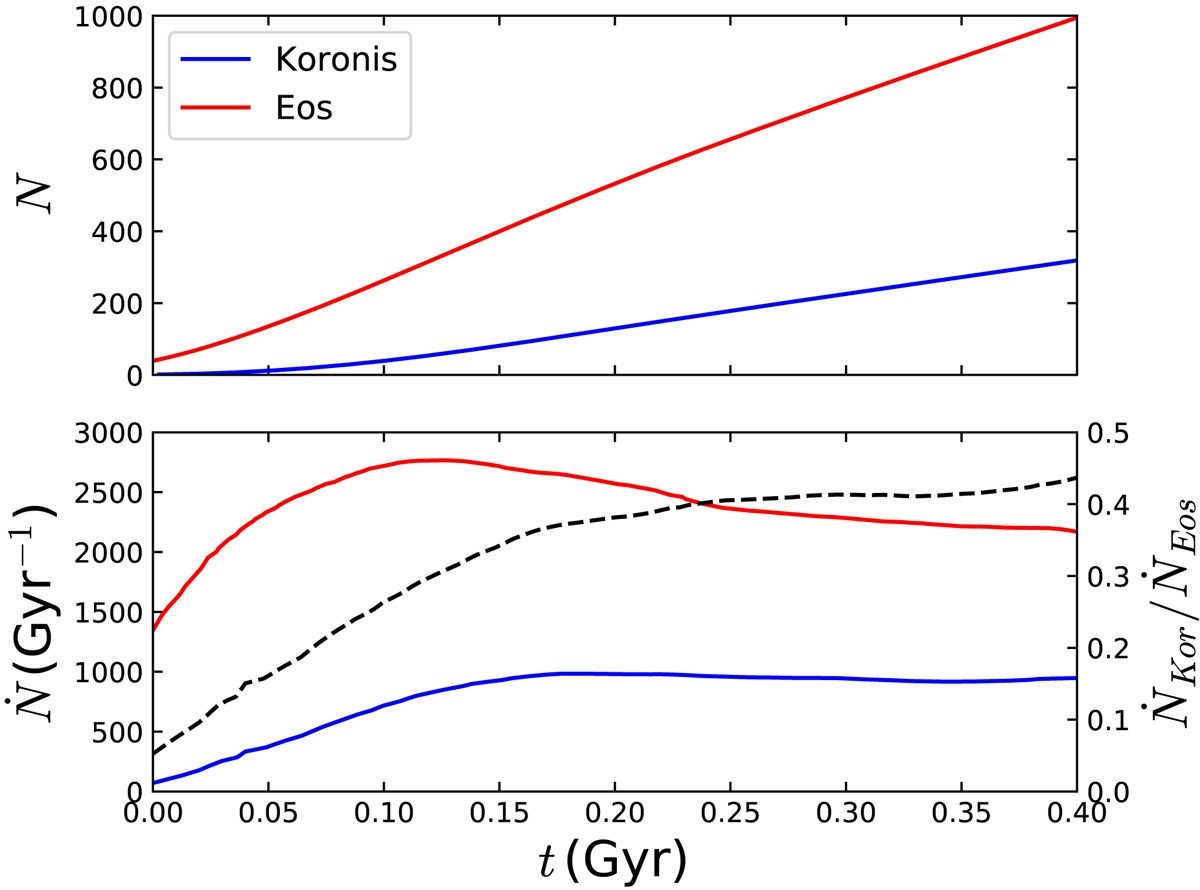
Fig. 10.

Accumulated number (top) and flux (bottom) of asteroids transported out via J7/3 MMR from the Koronis (blue) and Eos (red) families. The dashed line is the ratio of transported asteroids from the Koronis family to those from the Eos family (ṄKor/ṄEos).
Current usage metrics show cumulative count of Article Views (full-text article views including HTML views, PDF and ePub downloads, according to the available data) and Abstracts Views on Vision4Press platform.
Data correspond to usage on the plateform after 2015. The current usage metrics is available 48-96 hours after online publication and is updated daily on week days.
Initial download of the metrics may take a while.