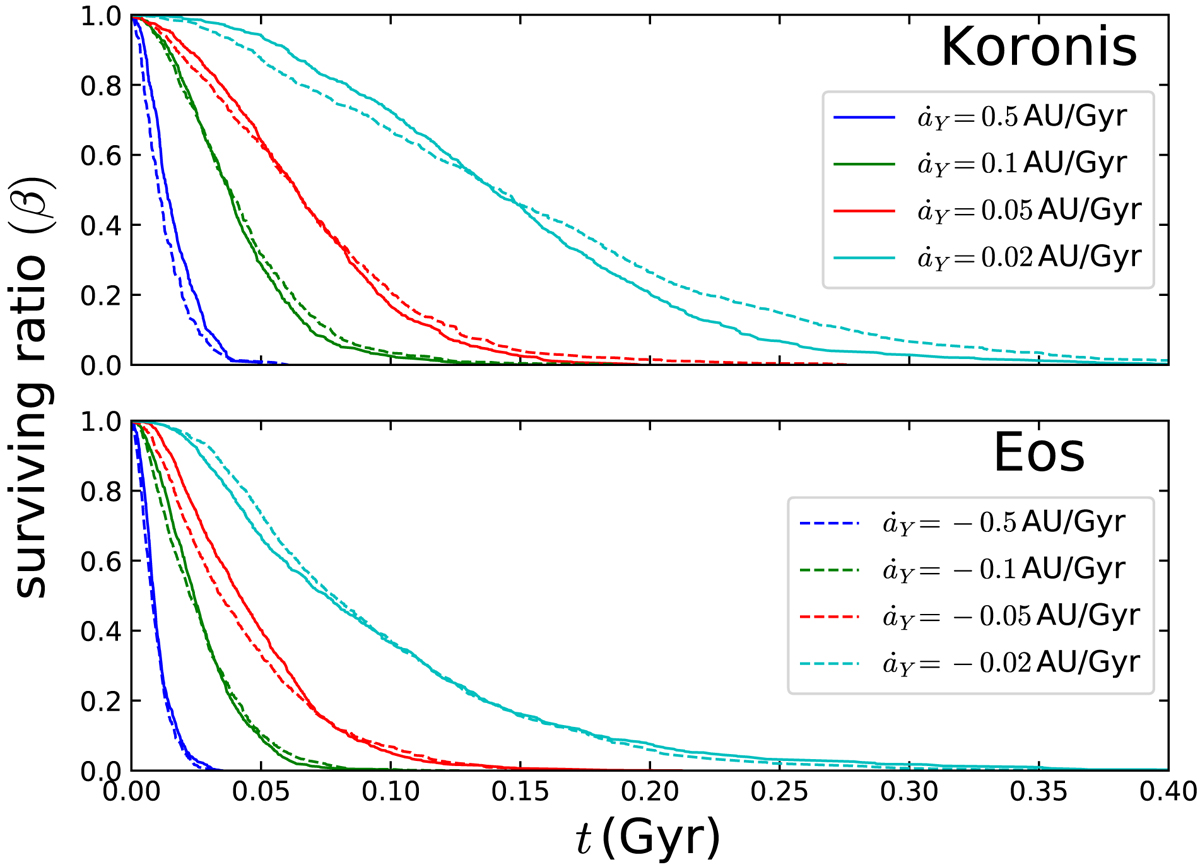
Fig. 5.

Surviving ratio against time for test particles in resonant groups. Different Yarkovsky drifting rates |ȧY| were adopted for four sets of initial conditions. The upper panel, labelled “Koronis”, is for two sets with Koronis-like inclination i0 = 3°, while the lower panel is for Eos-like inclination sets with i0 = 11°. The solid and dashed lines indicate the outward and inward migration by the Yarkovsky effect, respectively.
Current usage metrics show cumulative count of Article Views (full-text article views including HTML views, PDF and ePub downloads, according to the available data) and Abstracts Views on Vision4Press platform.
Data correspond to usage on the plateform after 2015. The current usage metrics is available 48-96 hours after online publication and is updated daily on week days.
Initial download of the metrics may take a while.