Free Access
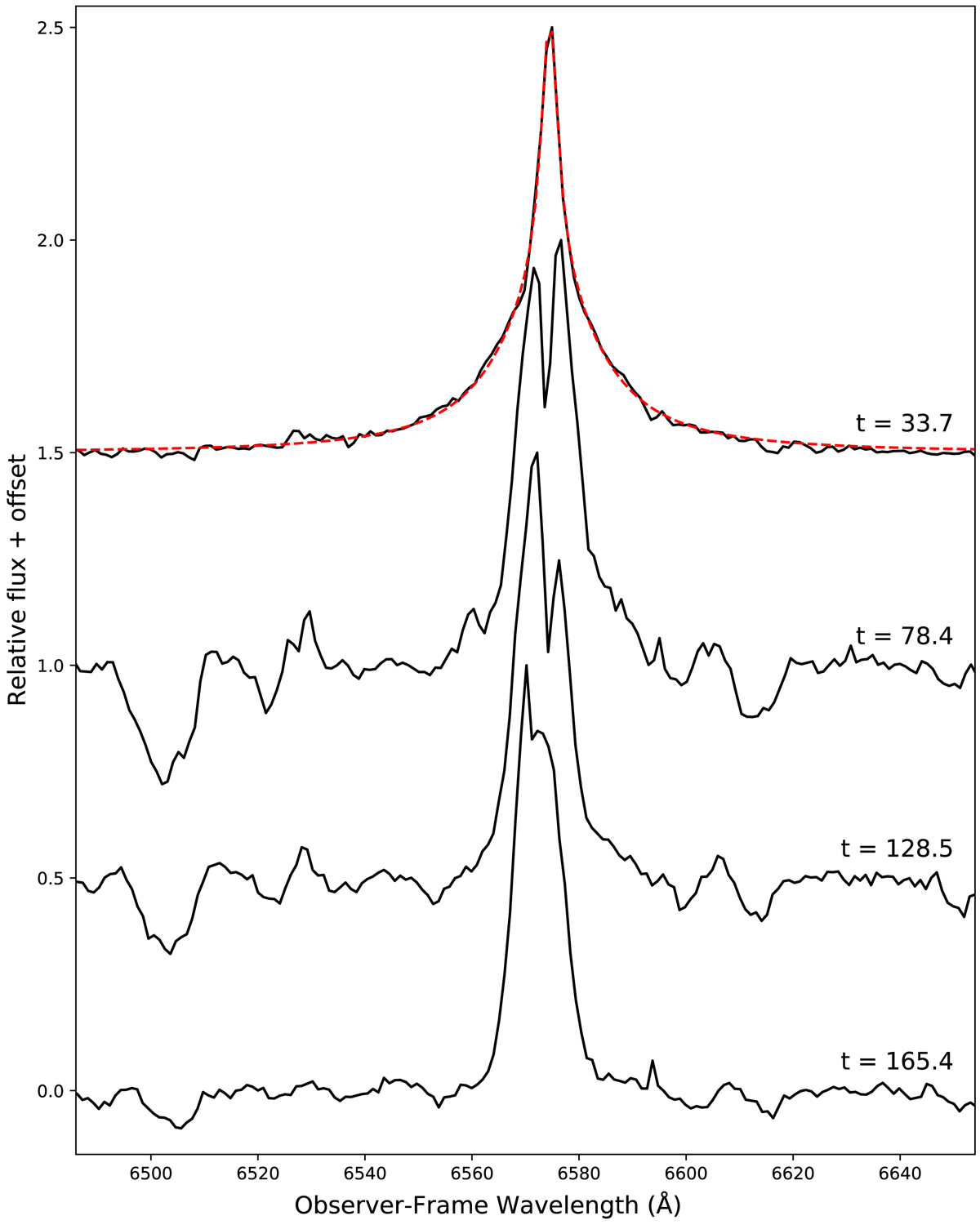
Fig. 6.

Evolution of the Hα emission line of AT 2019abn in our four GTC spectra. The red dashed line shows a two-component (Lorentzian + Gaussian) fit to the t = 33.7 day spectrum.
Current usage metrics show cumulative count of Article Views (full-text article views including HTML views, PDF and ePub downloads, according to the available data) and Abstracts Views on Vision4Press platform.
Data correspond to usage on the plateform after 2015. The current usage metrics is available 48-96 hours after online publication and is updated daily on week days.
Initial download of the metrics may take a while.