Free Access
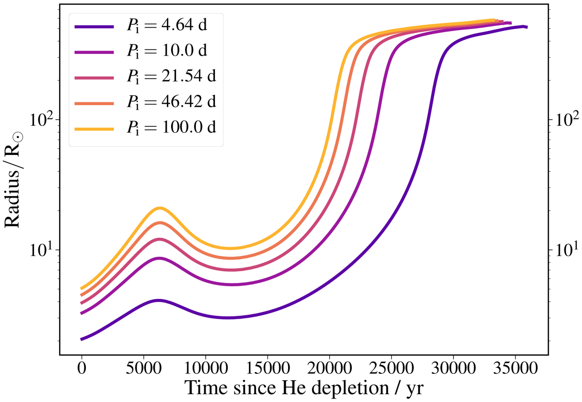
Fig. C.2.

Radius evolution of low-metallicity stripped star models with an initial mass of 11.3 M⊙ as a function of time after core helium depletion. Colors indicate the initial orbital period as specified in the legend.
Current usage metrics show cumulative count of Article Views (full-text article views including HTML views, PDF and ePub downloads, according to the available data) and Abstracts Views on Vision4Press platform.
Data correspond to usage on the plateform after 2015. The current usage metrics is available 48-96 hours after online publication and is updated daily on week days.
Initial download of the metrics may take a while.