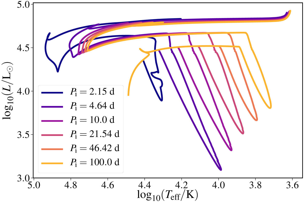
Fig. C.3.

Full evolution of models with an initial mass of 11.3 M⊙ with varying initial orbital periods on the Hertzsprung-Russell diagram. Colors indicate the initial orbital period as specified in the legend. All models with an initial orbital period longer than three days interact with their companions after leaving the main-sequence (case B mass-transfer).
Current usage metrics show cumulative count of Article Views (full-text article views including HTML views, PDF and ePub downloads, according to the available data) and Abstracts Views on Vision4Press platform.
Data correspond to usage on the plateform after 2015. The current usage metrics is available 48-96 hours after online publication and is updated daily on week days.
Initial download of the metrics may take a while.