Free Access
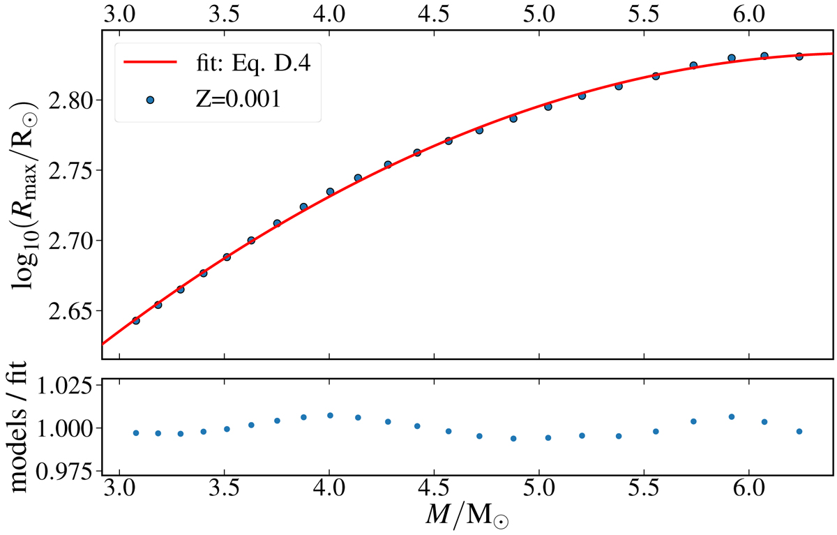
Fig. D.4.

Maximum radii of stripped-envelope stars as a function of their total mass at low metallicity. The best fit obtained (Eq. (D.4)) is shown in red. Lower panel: residuals of the fit.
Current usage metrics show cumulative count of Article Views (full-text article views including HTML views, PDF and ePub downloads, according to the available data) and Abstracts Views on Vision4Press platform.
Data correspond to usage on the plateform after 2015. The current usage metrics is available 48-96 hours after online publication and is updated daily on week days.
Initial download of the metrics may take a while.