Open Access
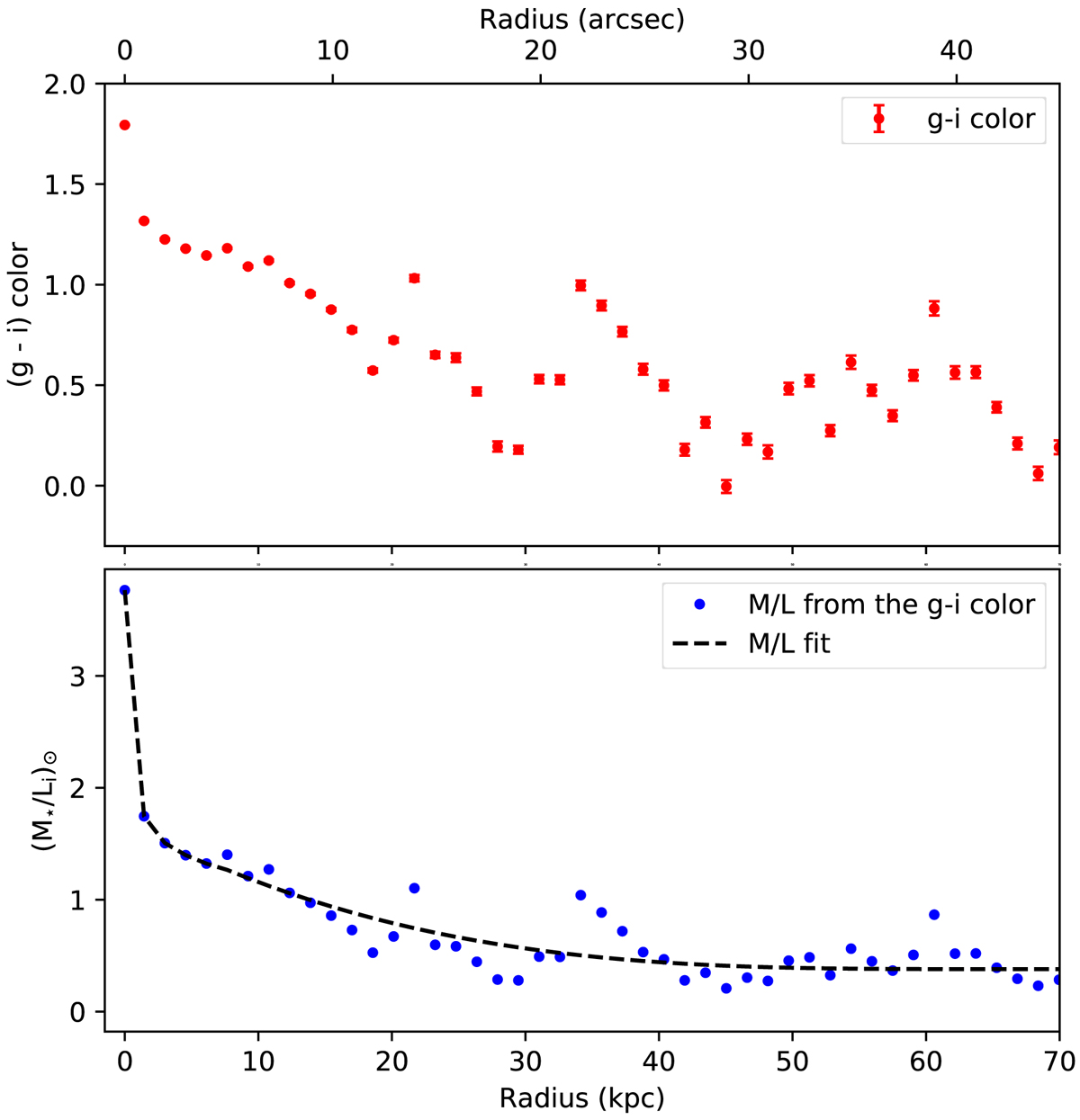
Fig. 9.

Top: g-i colour profile of Malin 1 measured from the NGVS g-band and i-band images. Bottom: stellar mass-to-light ratio of Malin 1 in i-band measured using the empirical relation from Taylor et al. (2011). The black dashed line indicates the best fit for the measured M⋆/Li.
Current usage metrics show cumulative count of Article Views (full-text article views including HTML views, PDF and ePub downloads, according to the available data) and Abstracts Views on Vision4Press platform.
Data correspond to usage on the plateform after 2015. The current usage metrics is available 48-96 hours after online publication and is updated daily on week days.
Initial download of the metrics may take a while.