Free Access
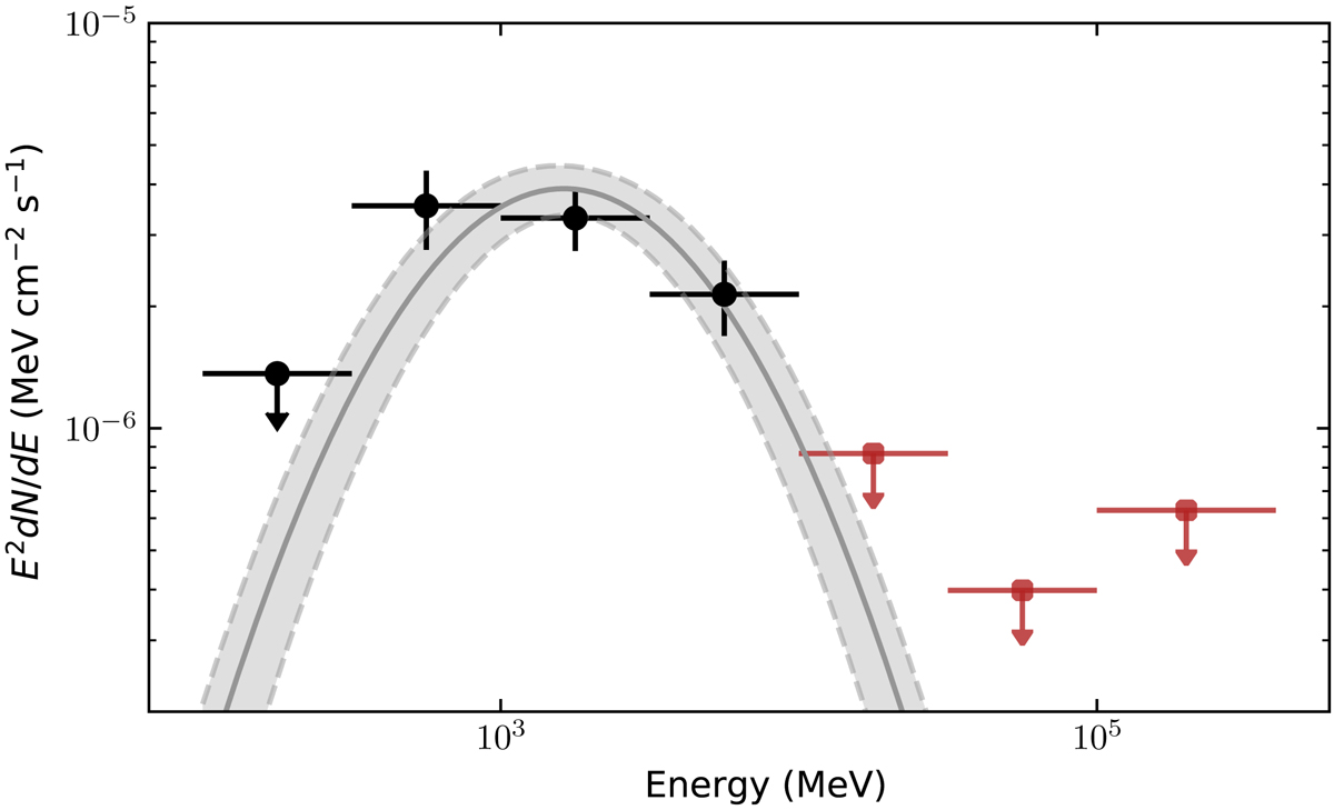
Fig. 3.

SED for 4FGL J1832.9−0913 (black) and best fit (grey) from the analysis below 10 GeV after gating off pulsed emission from PSR J1833−1034. In red, upper limits from the analysis above 10 GeV.
Current usage metrics show cumulative count of Article Views (full-text article views including HTML views, PDF and ePub downloads, according to the available data) and Abstracts Views on Vision4Press platform.
Data correspond to usage on the plateform after 2015. The current usage metrics is available 48-96 hours after online publication and is updated daily on week days.
Initial download of the metrics may take a while.