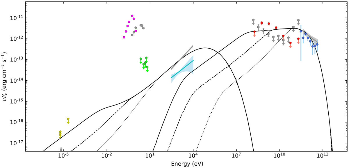
Fig. 9.

SED of HESS J1832−093: radio upper limits (yellow) (Condon et al. 1998; Helfand et al. 2006), IR (magenta) (Skrutskie et al. 2006), UV (green), X-rays (cian), HE (red), and VHE (blue) γ-rays (H.E.S.S. Collaboration 2015). In grey, SED from HESS J0632+057 is shown for comparison, including radio (Moldón et al. 2011), IR re-scaled a factor 10−3 (Skrutskie et al. 2006), X-ray (Hinton et al. 2009), and γ-rays (Li et al. 2017; Aharonian et al. 2007). In black, synchrotron and IC emission models for HESS J0632+057 with Emin of 1 GeV (solid), 10 GeV (dashed) and 100 GeV (dotted) (Hinton et al. 2009).
Current usage metrics show cumulative count of Article Views (full-text article views including HTML views, PDF and ePub downloads, according to the available data) and Abstracts Views on Vision4Press platform.
Data correspond to usage on the plateform after 2015. The current usage metrics is available 48-96 hours after online publication and is updated daily on week days.
Initial download of the metrics may take a while.