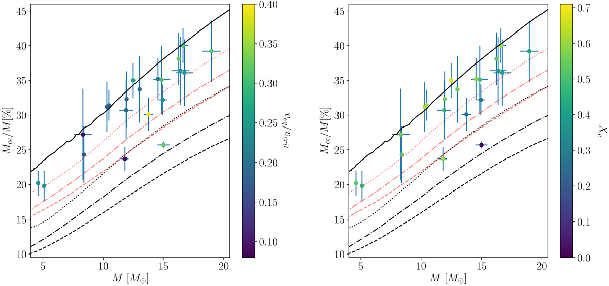
Fig. 10.

Convective core mass as a function of total mass for ZAMS models (full line) and models for the central hydrogen mass fractions of Xc = 0.35 (red) and Xc = 0.1 (black) when considering low (dashed), moderate (dashed-dot), and high (dotted) levels of CBM according to the ranges in Table 2. The sample stars are added with color coding according to their veq/vcirt (left) and their Xc (right).
Current usage metrics show cumulative count of Article Views (full-text article views including HTML views, PDF and ePub downloads, according to the available data) and Abstracts Views on Vision4Press platform.
Data correspond to usage on the plateform after 2015. The current usage metrics is available 48-96 hours after online publication and is updated daily on week days.
Initial download of the metrics may take a while.