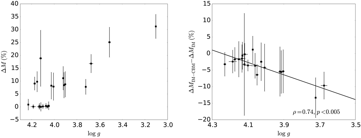
Fig. 6.

Left: remaining mass discrepancy after introducing an exponentially decaying CBM profile with radiative temperature gradient (the IM-CBM solution, cf. Sect. 4.3 and respective column in Table 3), defined as percentage of the dynamical mass of the star. Right: percentage difference between the mass discrepancy after (the IM-CBM solution) and before (the IM solution) the inclusion of CBM in the models.
Current usage metrics show cumulative count of Article Views (full-text article views including HTML views, PDF and ePub downloads, according to the available data) and Abstracts Views on Vision4Press platform.
Data correspond to usage on the plateform after 2015. The current usage metrics is available 48-96 hours after online publication and is updated daily on week days.
Initial download of the metrics may take a while.