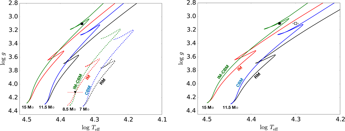
Fig. 9.

Left: four solutions obtained for the V380 Cyg system and detailed in Table 3. The corresponding MESA evolutionary tracks are shown with solid (dashed) lines for the primary (secondary) component. The RM, IM, CBM, and IM-CBM solutions are shown in black, red, blue, and green, respectively. The more (less) evolved primary (secondary) is shown with filled square (triangle) symbols. Right: changing position of the primary component (open square) associated with a reduced Teff by 8%. The color coding is the same as in the left panel.
Current usage metrics show cumulative count of Article Views (full-text article views including HTML views, PDF and ePub downloads, according to the available data) and Abstracts Views on Vision4Press platform.
Data correspond to usage on the plateform after 2015. The current usage metrics is available 48-96 hours after online publication and is updated daily on week days.
Initial download of the metrics may take a while.