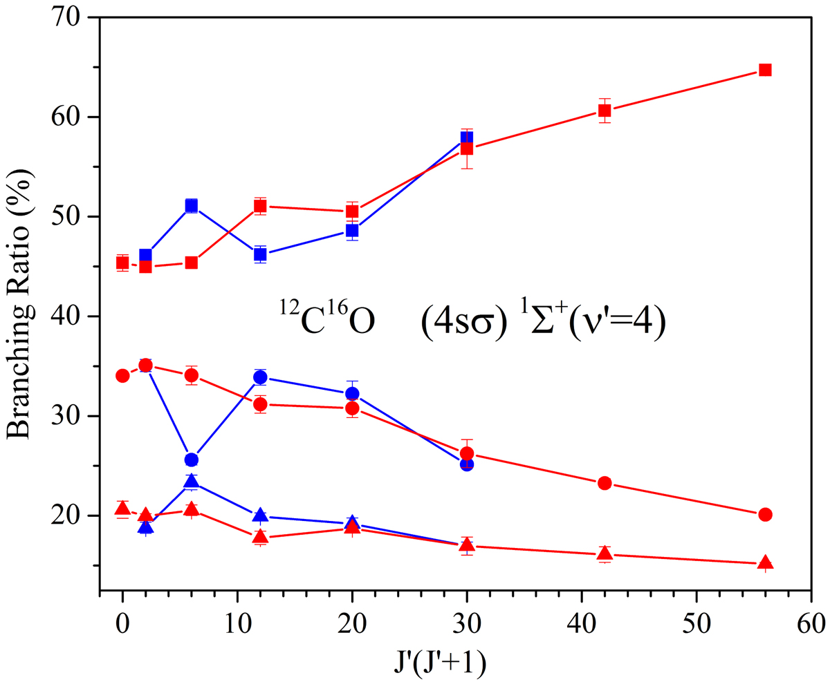
Fig. 6.

Dependence of the photodissociation branching ratio into the three lowest dissociation channels C(3P) + O(3P), C(1D) + O(3P), and C(3P) + O(1D) on J′(J′+1) for the (4sσ) 1Σ+(v′ = 4) state of 12C16O, where J′ is the rotational quantum number of the upper level. The error bars represent the standard deviations (1σ) of three independent measurements. Square: C(3P) + O(3P); dot: C(1D) + O(3P); triangle: C(3P) + O(1D). Blue: R-branch. Red: P-branch.
Current usage metrics show cumulative count of Article Views (full-text article views including HTML views, PDF and ePub downloads, according to the available data) and Abstracts Views on Vision4Press platform.
Data correspond to usage on the plateform after 2015. The current usage metrics is available 48-96 hours after online publication and is updated daily on week days.
Initial download of the metrics may take a while.