Free Access

Fig. 13.

image

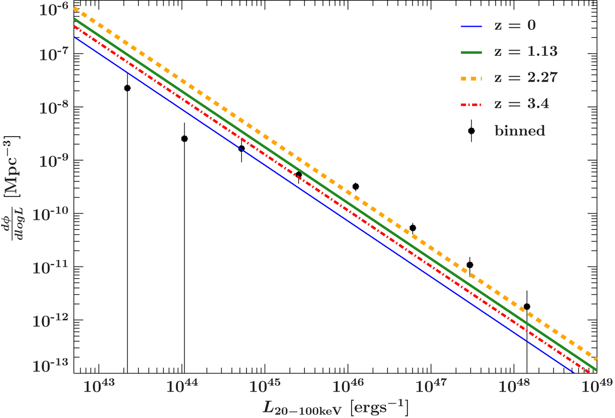
MOJAVE-1 XLF model PLEg, one of the two best fit models. Binned LF and analytic form are fitted to the 70 source sub-sample for which BAT fluxes are non upper limits.

Current usage metrics show cumulative count of Article Views (full-text article views including HTML views, PDF and ePub downloads, according to the available data) and Abstracts Views on Vision4Press platform.

Data correspond to usage on the plateform after 2015. The current usage metrics is available 48-96 hours after online publication and is updated daily on week days.

Initial download of the metrics may take a while.