Free Access
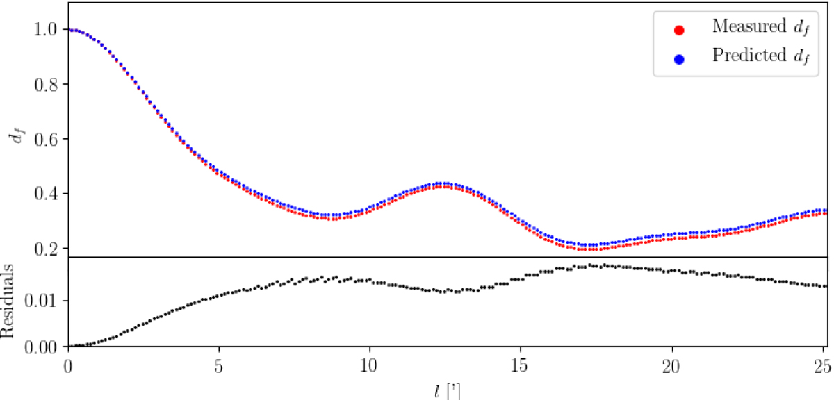
Fig. 4.

Decorrelation function as a function of distance from phase centre, for a point source located at that position and with a given set of antennas chosen to form a superstation. Here, the residuals are absolute residuals, not relative residuals. This is to show the quantisation in the residuals. l is in units of arcminutes.
Current usage metrics show cumulative count of Article Views (full-text article views including HTML views, PDF and ePub downloads, according to the available data) and Abstracts Views on Vision4Press platform.
Data correspond to usage on the plateform after 2015. The current usage metrics is available 48-96 hours after online publication and is updated daily on week days.
Initial download of the metrics may take a while.