Free Access

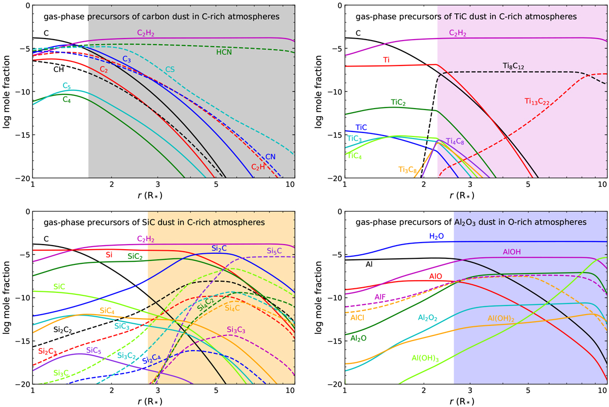
Fig. 7

image

Calculated chemical equilibrium abundances as a function of radius for gaseous reservoirs that can act as precursors of some of the first condensates expected in C- and O-rich AGB atmospheres: carbon, TiC, and SiC dust in C-rich stars (top left, top right, and bottom left, respectively), and Al2O3 dust in O-rich stars (bottom right). Abundances correspond to chemical equilibrium calculations in which only gaseous species are included. The shadowed areas indicate the regions where the condensation of the different types of dust is thermodynamically favorable: from 1.6 R* for graphite, 2.3 R* for TiC, 2.8 R* for SiC, and 2.6 R* for Al2O3.

Current usage metrics show cumulative count of Article Views (full-text article views including HTML views, PDF and ePub downloads, according to the available data) and Abstracts Views on Vision4Press platform.

Data correspond to usage on the plateform after 2015. The current usage metrics is available 48-96 hours after online publication and is updated daily on week days.

Initial download of the metrics may take a while.