Free Access
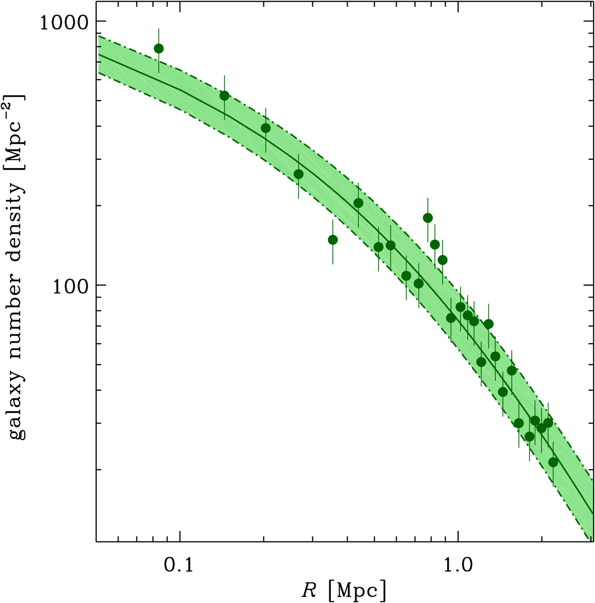
Fig. 3.

Projected galaxy number density profiles n(R) (points with 68 % error bars), for the member galaxies, corrected for the incompleteness. The solid line represents the best-fit projected NFW model with 68 % errors (shaded area).
Current usage metrics show cumulative count of Article Views (full-text article views including HTML views, PDF and ePub downloads, according to the available data) and Abstracts Views on Vision4Press platform.
Data correspond to usage on the plateform after 2015. The current usage metrics is available 48-96 hours after online publication and is updated daily on week days.
Initial download of the metrics may take a while.