Free Access

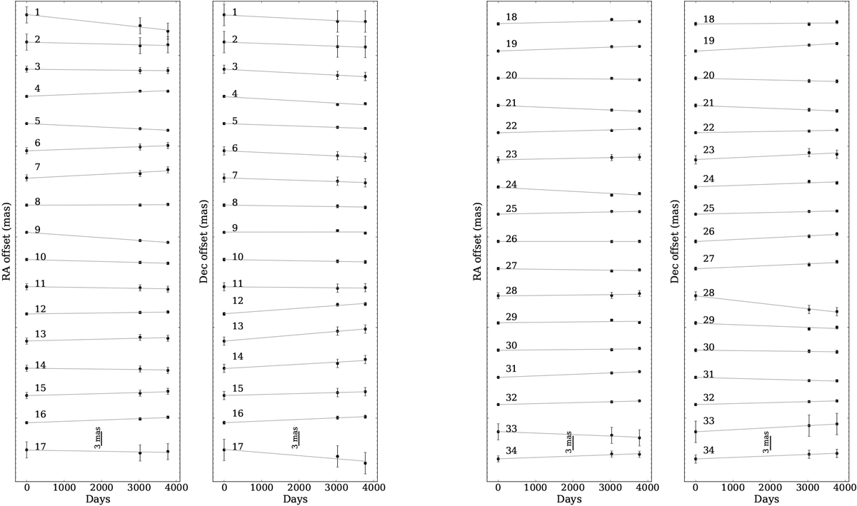
Fig. A.2

image

Positional variations of the methanol maser cloudlets against time. The straight line shows the relative proper motion of cloudlet estimated by linear fitting. The cloudlets are labelled as in Table A.1. The error bars are magnified by a factor of 10 for clarity, and the time is relative to the first epoch.

Current usage metrics show cumulative count of Article Views (full-text article views including HTML views, PDF and ePub downloads, according to the available data) and Abstracts Views on Vision4Press platform.

Data correspond to usage on the plateform after 2015. The current usage metrics is available 48-96 hours after online publication and is updated daily on week days.

Initial download of the metrics may take a while.