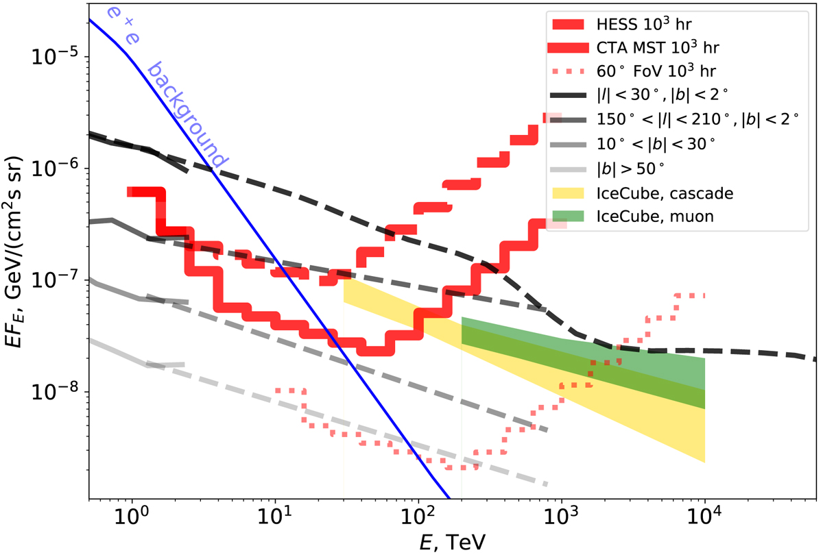
Fig. 3.

Sensitivity of CTA (red thick solid line) and HESS (red thick dashed line) telescopes for detection of the Galactic diffuse γ-ray emission. Green and yellow butterflies show the spectrum of the astrophysical neutrino signal detected in the cascade and through-going muon detection modes (Williams 2019). Light-to-dark grey solid lines show the flux levels of diffuse γ-ray emission from different parts of the sky measured by Fermi/LAT, as reported by Neronov & Semikoz (2020). Dashed lines of the same colour show high-energy power law extrapolation of the Fermi/LAT measurements. The Galactic Ridge signal (the darkest grey line) power law is modified by the effect of pair production on cosmic microwave background assuming a distance of 8 kpc. The dotted light red curve shows the sensitivity which could be achieved with a dedicated array of telescopes with a small and wide FoV.
Current usage metrics show cumulative count of Article Views (full-text article views including HTML views, PDF and ePub downloads, according to the available data) and Abstracts Views on Vision4Press platform.
Data correspond to usage on the plateform after 2015. The current usage metrics is available 48-96 hours after online publication and is updated daily on week days.
Initial download of the metrics may take a while.