Free Access
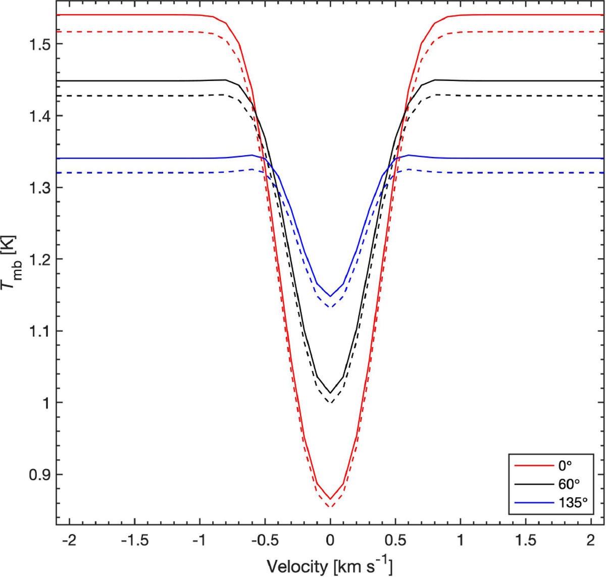
Fig. 7

Modelled spectra towards the nadir (solid lines) and limb (dashed lines) positions of the Ganymede moon model for case I. Red spectra represent a phase angle (viewing angle with respect to the SSP) of 0°, black spectra represent a phase angle of 60°, and blue spectra represent a phase angle of 135°.
Current usage metrics show cumulative count of Article Views (full-text article views including HTML views, PDF and ePub downloads, according to the available data) and Abstracts Views on Vision4Press platform.
Data correspond to usage on the plateform after 2015. The current usage metrics is available 48-96 hours after online publication and is updated daily on week days.
Initial download of the metrics may take a while.