Free Access

Fig. 8.

image

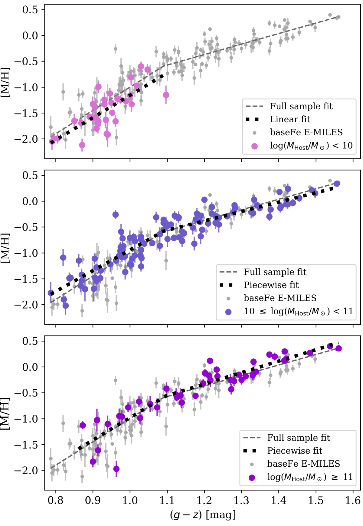
CZR for GCs that are hosted by galaxies of different stellar masses. We binned the sample into three mass bins. Top: pink circles show GCs for galaxies with stellar masses log(MHost/M) < 10. These galaxies are the least massive ones in our sample and generally have blue, metal-poor GCs. Middle: coloured circles show GCs for host masses with 10 ≤ log(MHost/M) < 11. This bin contains the most GCs and those sample the full range of colours and metallicities. Bottom: highest mass bin with log(MHost/M) ≥ 11 containing GCs with a broad range of metallicities and colours, except for the most metal-poor ones. The grey dots and line give the full sample and the fit, respectively. The black dotted line shows the fit to the respective mass bin.

Current usage metrics show cumulative count of Article Views (full-text article views including HTML views, PDF and ePub downloads, according to the available data) and Abstracts Views on Vision4Press platform.

Data correspond to usage on the plateform after 2015. The current usage metrics is available 48-96 hours after online publication and is updated daily on week days.

Initial download of the metrics may take a while.