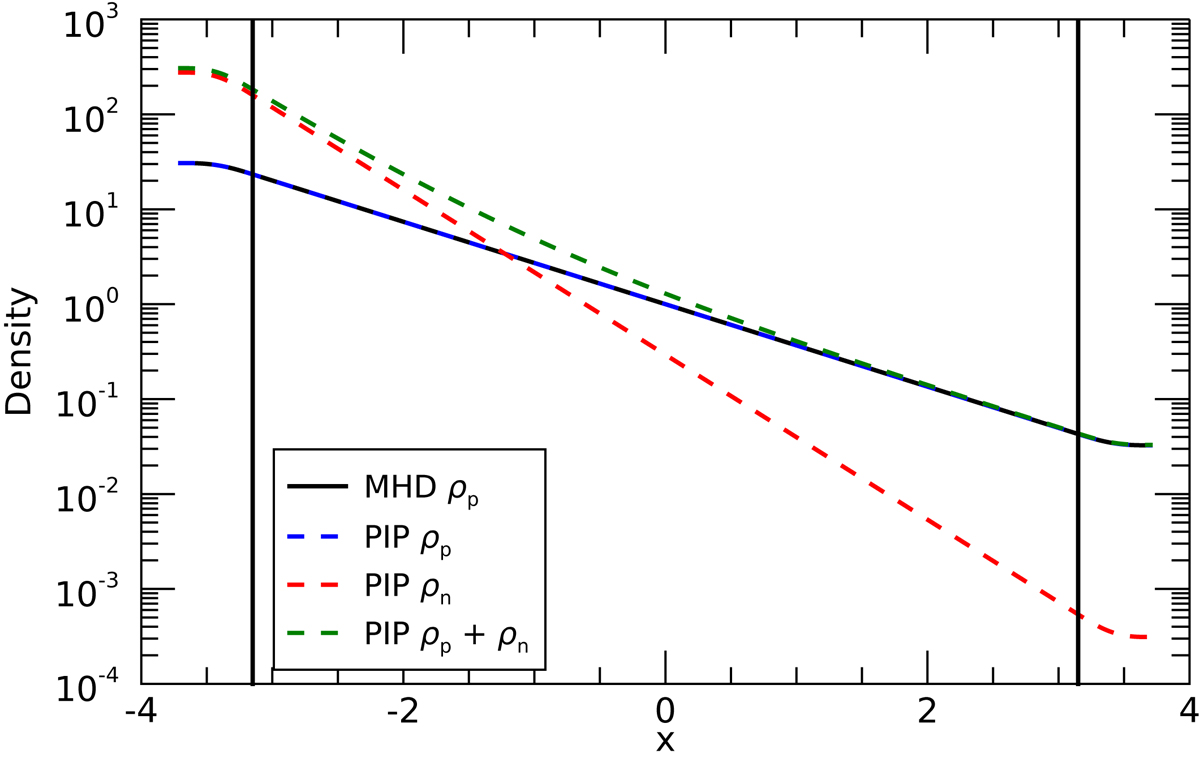
Fig. 1.

Density for the initial equilibrium. MHD density is the black-solid line. The PIP simulation has two densities: plasma (blue dashed) and neutral (red dashed). The normalisation leads to the MHD density being the same as the PIP plasma density. The total density for the PIP case is shown in green-dashed. Gravity is constant between the two vertical black lines.
Current usage metrics show cumulative count of Article Views (full-text article views including HTML views, PDF and ePub downloads, according to the available data) and Abstracts Views on Vision4Press platform.
Data correspond to usage on the plateform after 2015. The current usage metrics is available 48-96 hours after online publication and is updated daily on week days.
Initial download of the metrics may take a while.