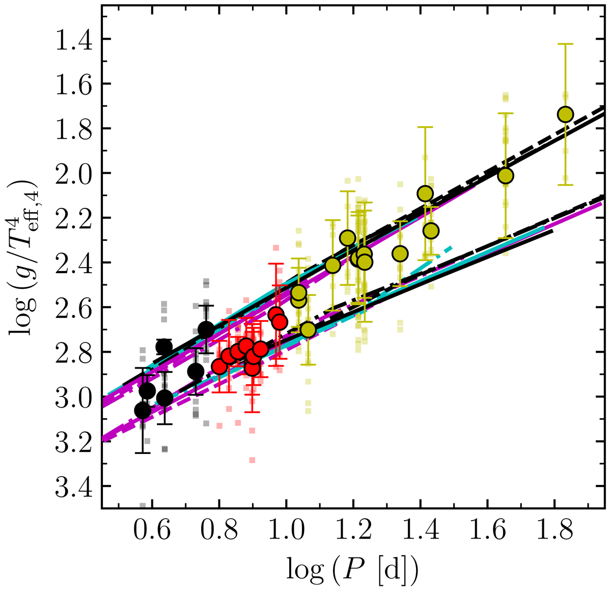
Fig. 1.

Flux-weighted gravity-period relation of fundamental mode classical Cepheids. Solar metallicity predictions (Z = 0.014) are shown using different line styles (dash-dotted, solid, and dashed) for different initial rotation rates (non-rotating, average, fast), while crossing numbers (first, second, and third) are distinguished using color (magenta, cyan, and black). Empirical values based on spectroscopic observations of Milky Way Cepheids by Luck & Andrievsky (2004), Andrievsky et al. (2005), and Kovtyukh et al. (2005) are shown as circles. FWG time-series data are drawn as transparent circles. Solid circles show the average of sinusoidal fits to the time-series data, with error bars indicating the amplitude of the fitted sine function.
Current usage metrics show cumulative count of Article Views (full-text article views including HTML views, PDF and ePub downloads, according to the available data) and Abstracts Views on Vision4Press platform.
Data correspond to usage on the plateform after 2015. The current usage metrics is available 48-96 hours after online publication and is updated daily on week days.
Initial download of the metrics may take a while.