Open Access

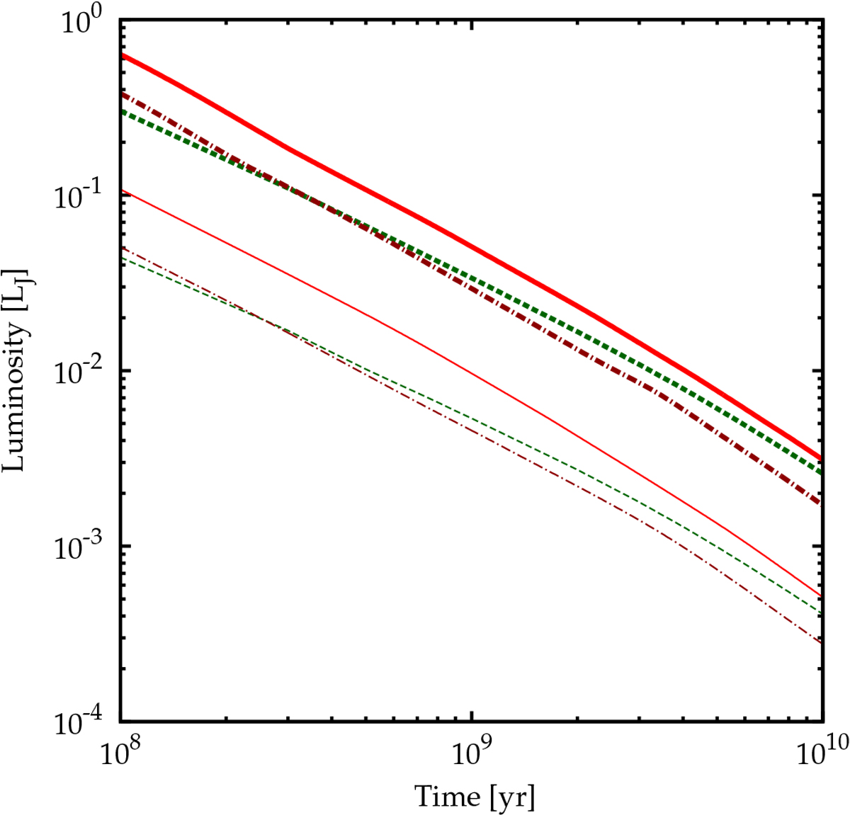
Fig. A.2

image

Comparison of the luminosity as a function of time as predicted by direct cooling calculations and the fit. The upper three thicker lines are for a 15 M planet while the three thin lines below are for a 5 M planet. Thegreen dashed line is the fit of Eq. (A.1). The other lines are direct simulations. The brown dashed-dotted and the red solid lines assume a rocky core, and a core consisting of 50% ice and 50% rocky material, respectively.

Current usage metrics show cumulative count of Article Views (full-text article views including HTML views, PDF and ePub downloads, according to the available data) and Abstracts Views on Vision4Press platform.

Data correspond to usage on the plateform after 2015. The current usage metrics is available 48-96 hours after online publication and is updated daily on week days.

Initial download of the metrics may take a while.