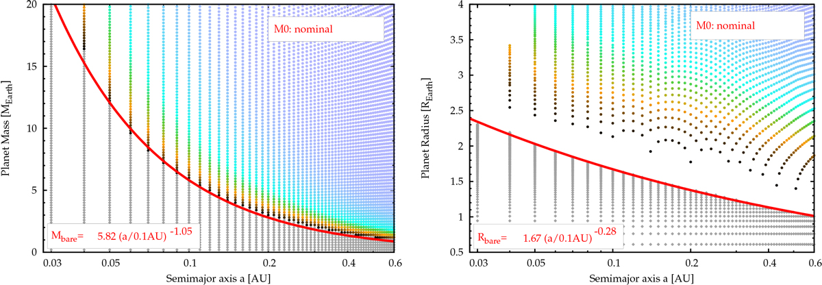
Fig. 4

Transition from solid planets to planets with H/He in the plane of mass (left panel) and corresponding radius (right panel) versus semimajor axis for the nominal simulation M0 at 5 Gyr. Colored points are planets that still have primordial H/He whereas gray diamonds are bare rocky planets. The color code shows the fraction of initial H/He that was evaporated (same color scale as in Fig. 3). The red line is a power law fit to the most massive respectively largest planet that has lost the envelope, representing the transition at Mbare respectively Rbare, with the fit parameters indicated in the inset (Mbare in M⊕, Rbare in R⊕). Planets below the red line are solid planets in the bare core triangle. In the mass plane the transition is continuous, whereas in the radius plane, there is a gap separating solid planets from planets with gas (the evaporation valley).
Current usage metrics show cumulative count of Article Views (full-text article views including HTML views, PDF and ePub downloads, according to the available data) and Abstracts Views on Vision4Press platform.
Data correspond to usage on the plateform after 2015. The current usage metrics is available 48-96 hours after online publication and is updated daily on week days.
Initial download of the metrics may take a while.