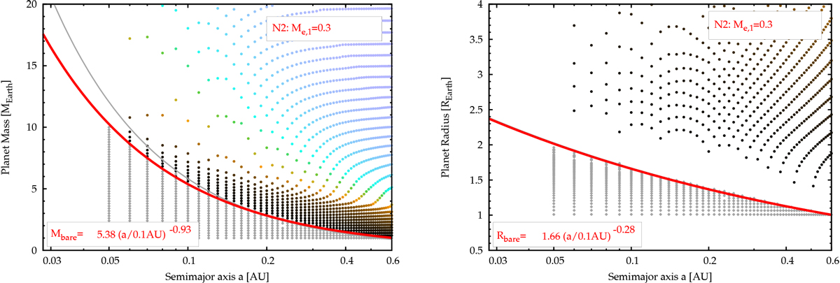
Fig. 7

Impact of the normalization of the initial envelope mass as found in simulation N2. The figure is analogous to Fig. 4. Compared to the reference case M3, the normalization constant of the envelope mass (i.e., the envelope mass for a 1 M⊕ planet) is here Me,1 = 0.3 instead of 0.03 M⊕. This means that all the initial envelope masses are increased uniformly by a factor 10.
Current usage metrics show cumulative count of Article Views (full-text article views including HTML views, PDF and ePub downloads, according to the available data) and Abstracts Views on Vision4Press platform.
Data correspond to usage on the plateform after 2015. The current usage metrics is available 48-96 hours after online publication and is updated daily on week days.
Initial download of the metrics may take a while.