Free Access

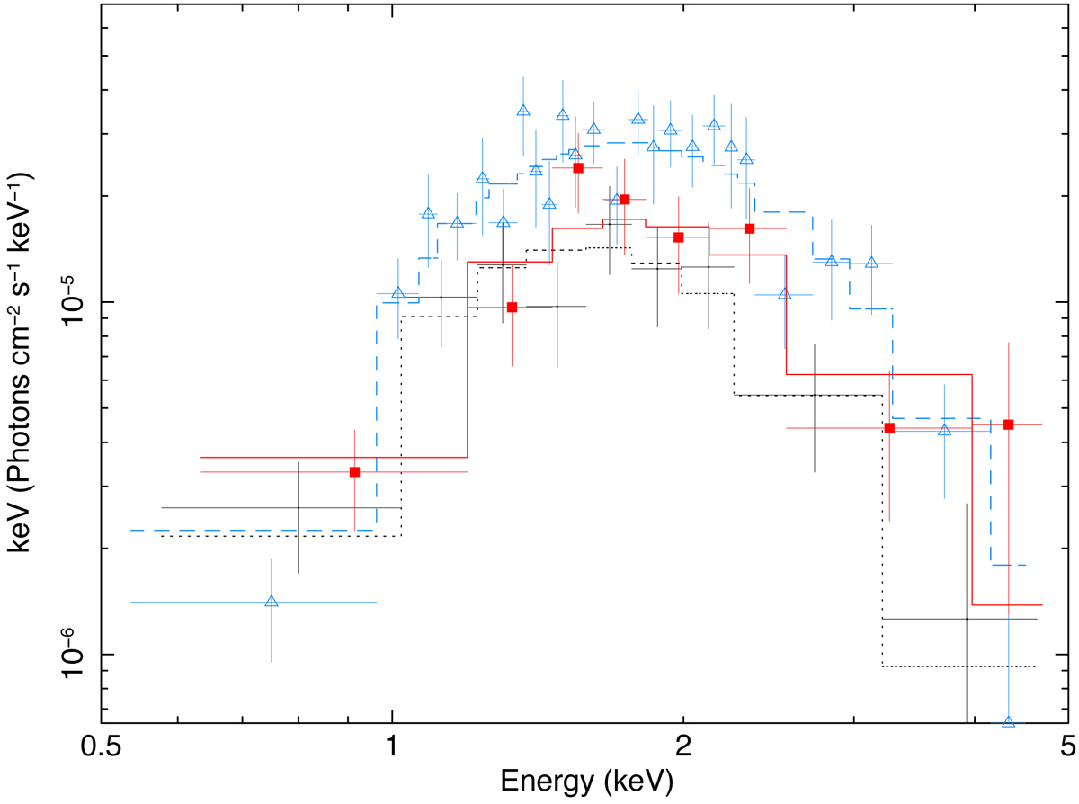
Fig. 4.

image

Comparison of unfolded pn spectra obtained during the three XMM-Newton observations. All spectra were fitted using a black-body model. The spectra were rebinned for display purposes. The observations were obtained during quiescence in 2007 (black crosses and dotted line; ObsID 0505280101), ∼90 days after the end of the 2015 outburst (blue up-pointing triangles and dashed line; ObsID 0790189391), and ∼140 days after the end of the 2017 outburst (red squares and solid line; ObsID 0804940201).

Current usage metrics show cumulative count of Article Views (full-text article views including HTML views, PDF and ePub downloads, according to the available data) and Abstracts Views on Vision4Press platform.

Data correspond to usage on the plateform after 2015. The current usage metrics is available 48-96 hours after online publication and is updated daily on week days.

Initial download of the metrics may take a while.