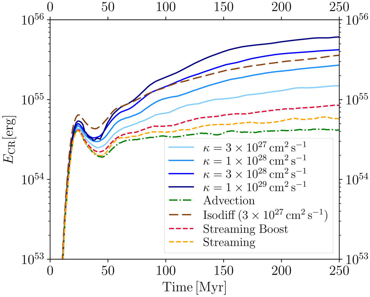
Fig. 10.

Total CR energy in the box the different runs of the G9 galaxy. The higher the diffusion coefficient, the higher the CR energy: the reason is that the more CRs can diffuse, the more they can escape high gas density and CR-energy-density regions where the CR cooling rate is higher. At the beginning of the simulation, with isotropic diffusion, CR energy quickly escapes in directions perpendicular to the disc, whereas it remains trapped in the disc for anisotropic diffusion.
Current usage metrics show cumulative count of Article Views (full-text article views including HTML views, PDF and ePub downloads, according to the available data) and Abstracts Views on Vision4Press platform.
Data correspond to usage on the plateform after 2015. The current usage metrics is available 48-96 hours after online publication and is updated daily on week days.
Initial download of the metrics may take a while.