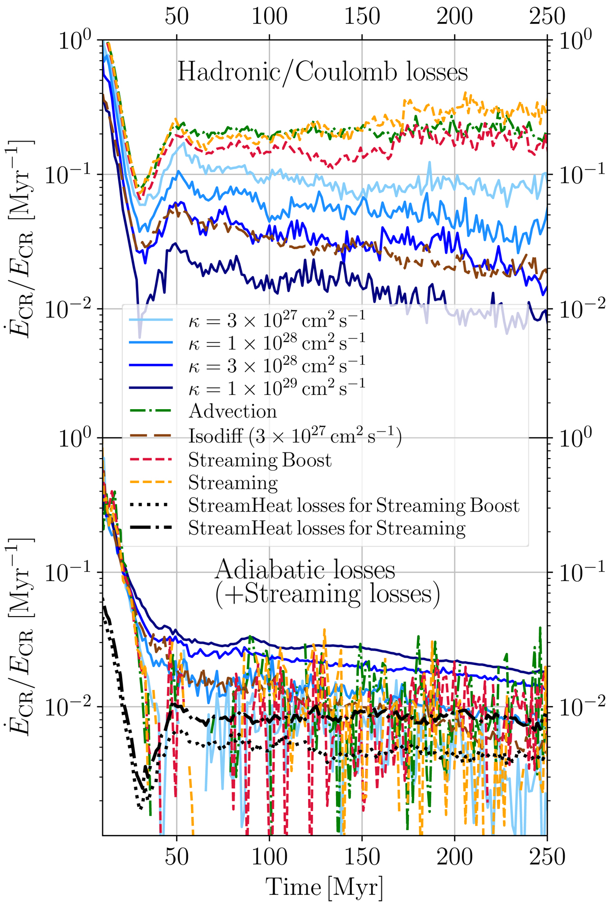
Fig. 11.

Top panel: hadronic and Coulomb cooling rate of CR energy inside the box for the different runs. Bottom panel: CR adiabatic losses (−PCR∇⋅u < 0). We find that the cooling rate is higher for lower diffusion. We find that adiabatic losses are subdominant except in the isotropic and anisotropic diffusion simulations with the highest diffusion coefficients. The black dotted line corresponds to the streaming losses (−ust ⋅ ∇PCR) in the “Streaming Boost” simulation.
Current usage metrics show cumulative count of Article Views (full-text article views including HTML views, PDF and ePub downloads, according to the available data) and Abstracts Views on Vision4Press platform.
Data correspond to usage on the plateform after 2015. The current usage metrics is available 48-96 hours after online publication and is updated daily on week days.
Initial download of the metrics may take a while.