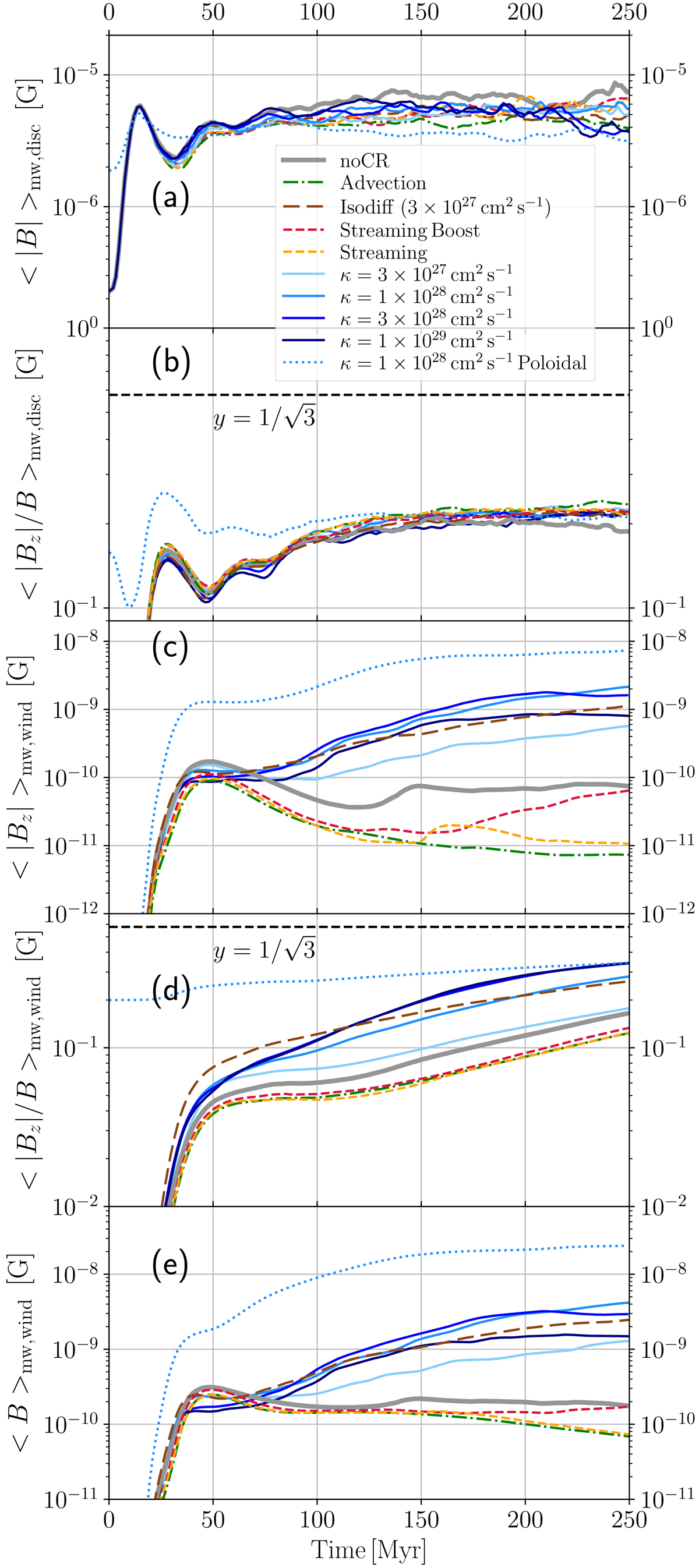
Fig. 13.

Evolution of the (a) mass averaged magnetic field B in the disc (of 4 kpc height and 10 kpc radius); (b) mass averaged ratio of Bz over B in the disc (c) mass averaged Bz in the wind (more than 2 kpc away from the disc) (d) mass averaged ratio of Bz over B in the disc wind; mass average norm of B in the wind. The mean magnetic field strength in the disc saturates at ⟨B⟩≃5 μG with a similar vertical structure in all of the simulated cases. In the wind, a clear difference appears when adding diffusion (isotropic or anisotropic), and the vertical component is more than ten times greater with CR injection and diffusion than without CR injection.
Current usage metrics show cumulative count of Article Views (full-text article views including HTML views, PDF and ePub downloads, according to the available data) and Abstracts Views on Vision4Press platform.
Data correspond to usage on the plateform after 2015. The current usage metrics is available 48-96 hours after online publication and is updated daily on week days.
Initial download of the metrics may take a while.