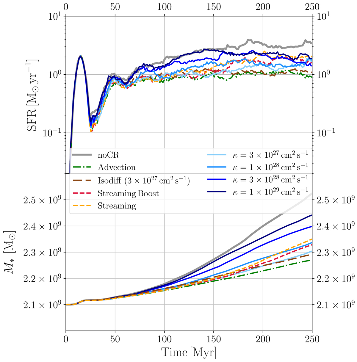
Fig. 5.

Top panel: SFR as a function of time for the G9 galaxy with and without CR injection, with different CR transport models. Bottom panel: stellar mass as a function of time. Without CR injection (grey thick line), the SFR is 2–3 times greater than with CR injection. The simulation with advection of the CRs is where the SFR is the most affected because CR energy is trapped in the regions of star formation and does not escape.
Current usage metrics show cumulative count of Article Views (full-text article views including HTML views, PDF and ePub downloads, according to the available data) and Abstracts Views on Vision4Press platform.
Data correspond to usage on the plateform after 2015. The current usage metrics is available 48-96 hours after online publication and is updated daily on week days.
Initial download of the metrics may take a while.