Free Access

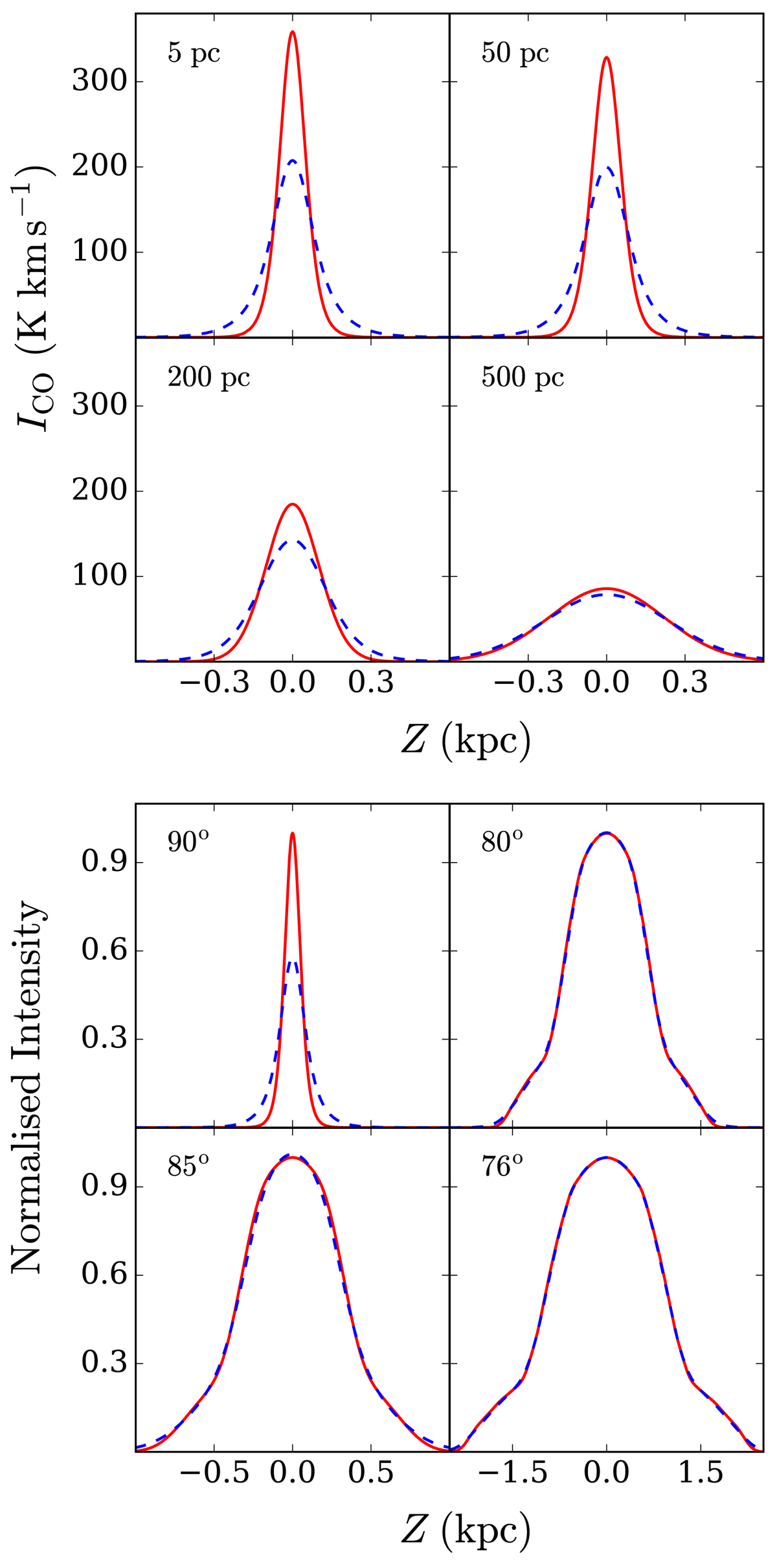
Fig. 11.

image

Top panel: vertical column density profiles of the edge-on molecular discs in NGC 7331 (single-component and two-component) at a radius of 4 kpc for different imaging resolutions. The spatial resolutions are quoted in the top left corners of each sub-panel. Bottom panel: dependence of the normalised vertical column density profile on inclination. In both of the panels, the solid red and blue dashed lines represent the molecular column density profiles for a single-component and two-component molecular disc, respectively. See the text for more details.

Current usage metrics show cumulative count of Article Views (full-text article views including HTML views, PDF and ePub downloads, according to the available data) and Abstracts Views on Vision4Press platform.

Data correspond to usage on the plateform after 2015. The current usage metrics is available 48-96 hours after online publication and is updated daily on week days.

Initial download of the metrics may take a while.