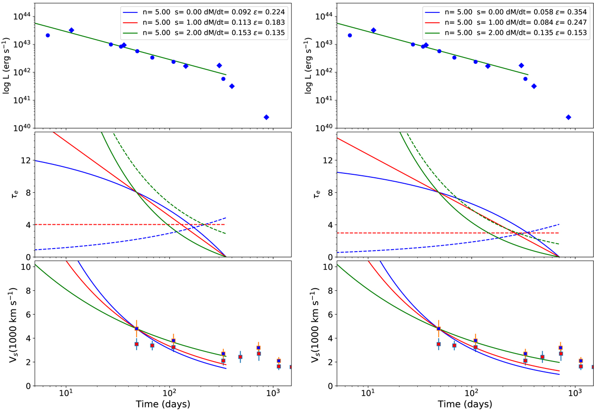
Fig. 26.

Models for the luminosity, electron scattering optical depth of the CSM (solid lines) and CDS (dashed lines), and velocity based on the similarity solution for different values of the density power law index s. Left panels: break out time tb = 350 days; right panels: tb = 700 days. The mass-loss rate and efficiency parameters are given in the legends for the different s.
Current usage metrics show cumulative count of Article Views (full-text article views including HTML views, PDF and ePub downloads, according to the available data) and Abstracts Views on Vision4Press platform.
Data correspond to usage on the plateform after 2015. The current usage metrics is available 48-96 hours after online publication and is updated daily on week days.
Initial download of the metrics may take a while.