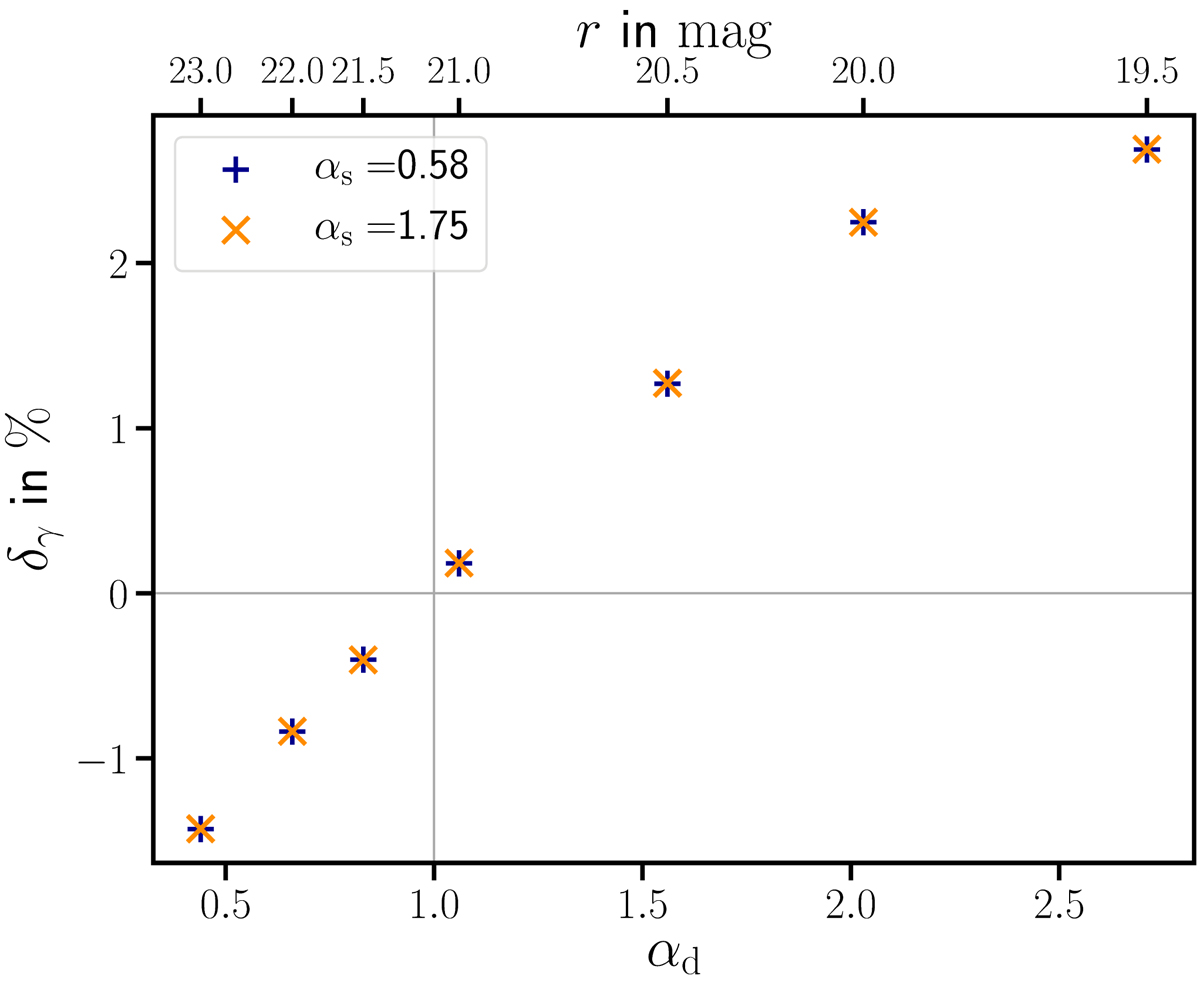
Fig. 6.

Behaviour of mean fractional shear difference δy as a function of local slope for lens galaxies αd and r-band-limiting magnitude, to change the lens properties according to Table 1b. The source and lens redshift is the same for both cases, i.e., zd = 0.41 and zs = 0.99. The effect is independent of the sources local slope αs.
Current usage metrics show cumulative count of Article Views (full-text article views including HTML views, PDF and ePub downloads, according to the available data) and Abstracts Views on Vision4Press platform.
Data correspond to usage on the plateform after 2015. The current usage metrics is available 48-96 hours after online publication and is updated daily on week days.
Initial download of the metrics may take a while.