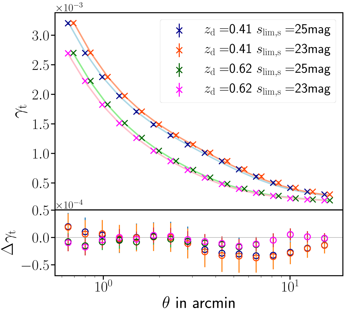
Fig. 8.

Upper panel: magnification-corrected shear profiles for two lens redshifts zd with a r-band magnitude cut of 22 mag and two differently selected source galaxies at redshift zs = 0.99 (crosses) as well as their best fit according to the halo model (solid line). Lower panel: absolute difference Δγt between data and halo model fit (open circles with the same colour). For each lens redshift, source galaxies were chosen with two limiting magnitudes that have the local slopes αs = 0.58 and 1.75, respectively. As expected, the shear profile does not depend on the choice of source galaxies. The offset between the red/blue points as well as the magenta/green points is for better visibility only.
Current usage metrics show cumulative count of Article Views (full-text article views including HTML views, PDF and ePub downloads, according to the available data) and Abstracts Views on Vision4Press platform.
Data correspond to usage on the plateform after 2015. The current usage metrics is available 48-96 hours after online publication and is updated daily on week days.
Initial download of the metrics may take a while.